Ответы
Ответ дал:
0
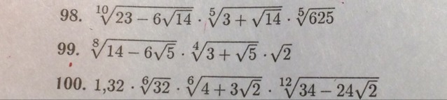
№98
¹⁰√(23 - 6√14)*⁵√(3 + √14) * ⁵√ 625=?
Решение.
Будем делать по действиям:
а) ¹⁰√(23 - 6√14) = ¹⁰√(9 - 2*3√14 + 14) = ¹⁰√(√14 - 3)² = ⁵√(√14 - 3)
б) ⁵√(√14 - 3) * ⁵√(3 + 3√14) = ⁵√(14 - 9) =⁵√5
в)⁵√5 * ⁵√ 625 = ⁵√ (5* 625) = ⁵√ 5⁵ = 5
№99
⁸√(14 - 6√5) * ⁴√(3 + √5) * √2=?
Будем делать по действиям:
а)⁸√(14 - 6√5) = ⁸√(9- 2*3√5 + 5) = ⁸√(3 - √5)²= ⁴√(3 - √5)
б) ⁴√(3 -√5) * ⁴√(3 + √5) = ⁴√(9 -5) = ⁴√4
в) ⁴√4 * √2 = ⁴√2² * √2 = √2 * √2 =√4 = 2№100
1,32 * ⁶√32 * ⁶√(4 + 3 √2) * ¹² √(34 - 24 √2) = ?
Решение:
Будем делать по действиям:
а) ¹² √(34 - 24 √2) = ¹² √(16 + 18 - 2 * 3√2) = ¹² √(3√2- 4)² = ⁶√( 3 √2 - 4)
б) ⁶√(4 + 3 √2) * ⁶√(3 √2 - 4) = ⁶√(18 - 16) = ⁶√2
в) 1,32 * ⁶√32 * ⁶√2 = 1,32 * ⁶√64 = 1,32 * 2 = 2,64
¹⁰√(23 - 6√14)*⁵√(3 + √14) * ⁵√ 625=?
Решение.
Будем делать по действиям:
а) ¹⁰√(23 - 6√14) = ¹⁰√(9 - 2*3√14 + 14) = ¹⁰√(√14 - 3)² = ⁵√(√14 - 3)
б) ⁵√(√14 - 3) * ⁵√(3 + 3√14) = ⁵√(14 - 9) =⁵√5
в)⁵√5 * ⁵√ 625 = ⁵√ (5* 625) = ⁵√ 5⁵ = 5
№99
⁸√(14 - 6√5) * ⁴√(3 + √5) * √2=?
Будем делать по действиям:
а)⁸√(14 - 6√5) = ⁸√(9- 2*3√5 + 5) = ⁸√(3 - √5)²= ⁴√(3 - √5)
б) ⁴√(3 -√5) * ⁴√(3 + √5) = ⁴√(9 -5) = ⁴√4
в) ⁴√4 * √2 = ⁴√2² * √2 = √2 * √2 =√4 = 2№100
1,32 * ⁶√32 * ⁶√(4 + 3 √2) * ¹² √(34 - 24 √2) = ?
Решение:
Будем делать по действиям:
а) ¹² √(34 - 24 √2) = ¹² √(16 + 18 - 2 * 3√2) = ¹² √(3√2- 4)² = ⁶√( 3 √2 - 4)
б) ⁶√(4 + 3 √2) * ⁶√(3 √2 - 4) = ⁶√(18 - 16) = ⁶√2
в) 1,32 * ⁶√32 * ⁶√2 = 1,32 * ⁶√64 = 1,32 * 2 = 2,64
Вас заинтересует
2 года назад
2 года назад
7 лет назад
7 лет назад
9 лет назад
9 лет назад
10 лет назад