• Предмет: Алгебра
  • Автор: ramazan00
  • Вопрос задан 11 лет назад

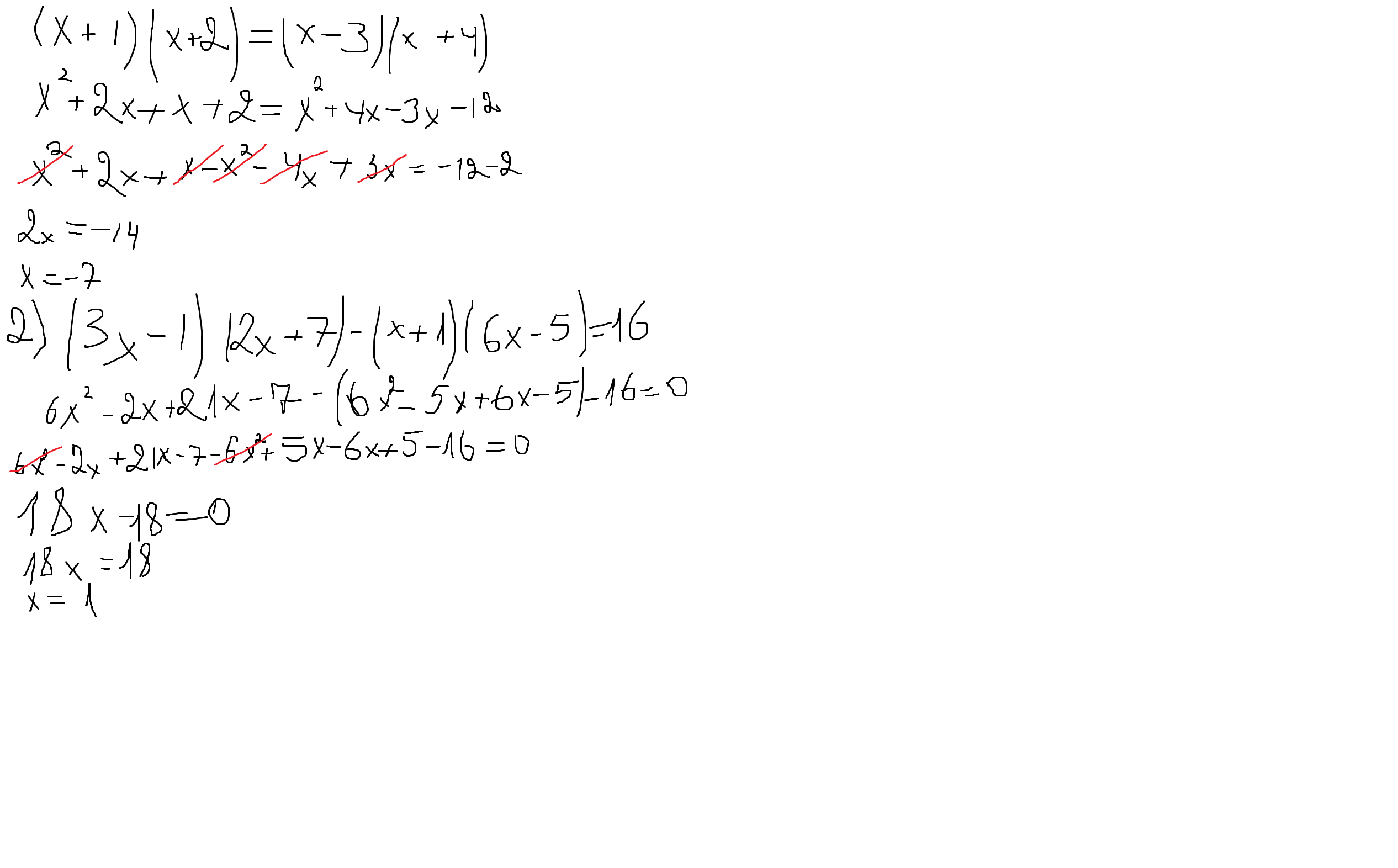
1) (х+1)(х+2)=(х-3)(х+4)

2) (3х-1)(2х+7)-(х+1)(6х-5)=16

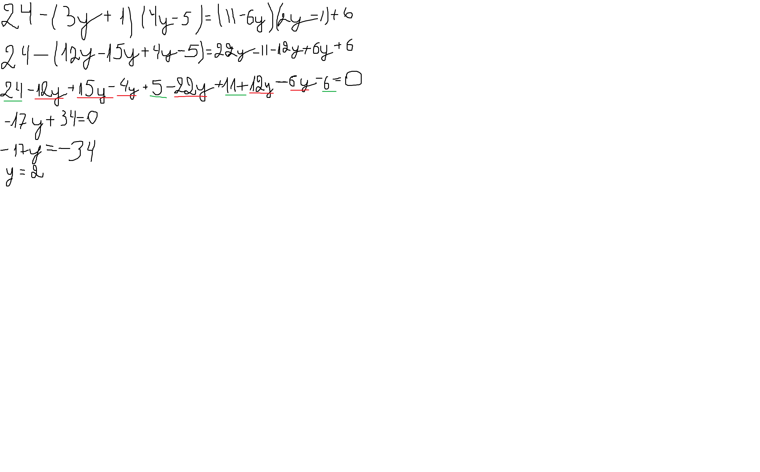
3) 24-(3у+1)(4у-5)=(11-6у)(2у-1)+6

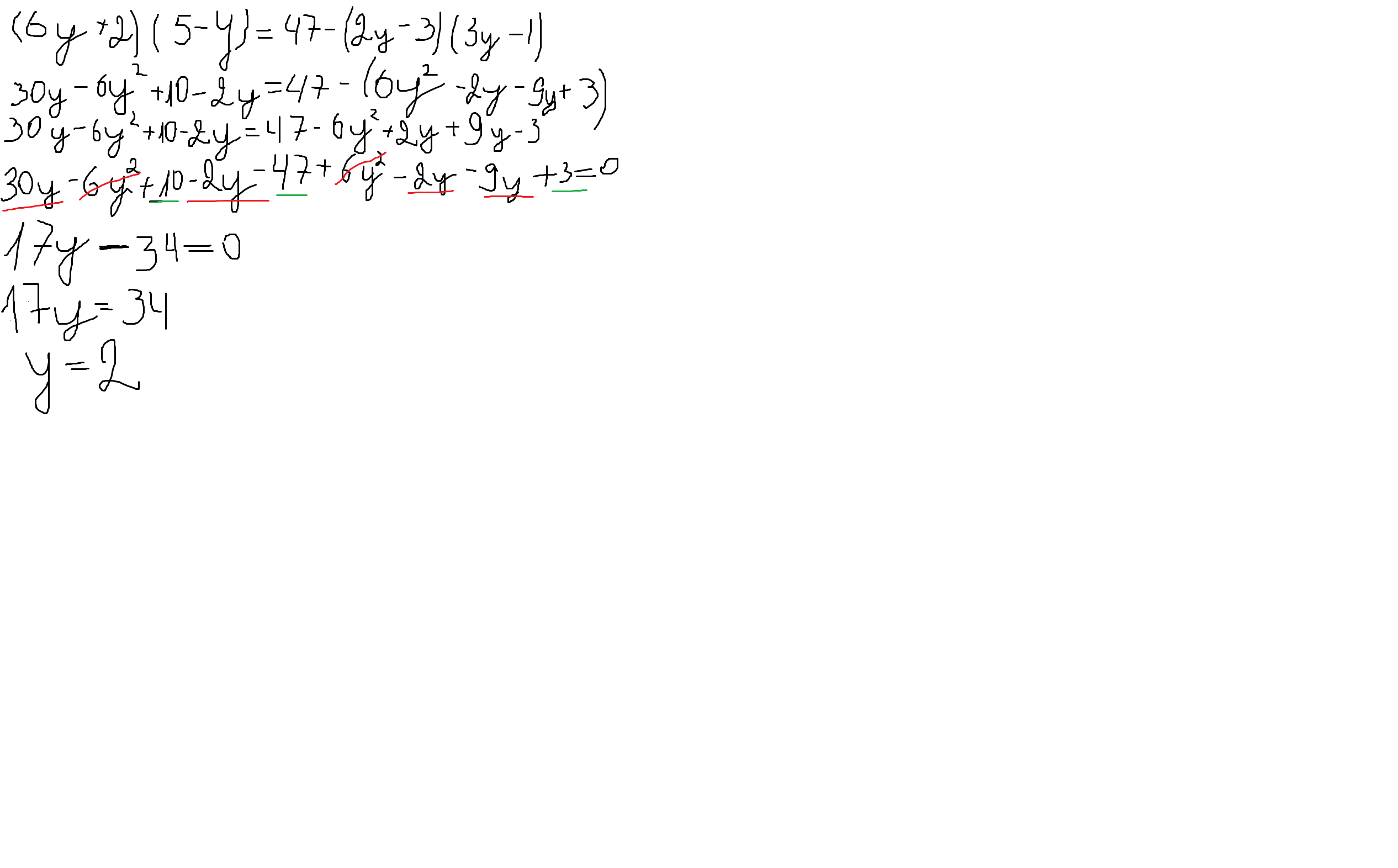
4) (6у+2)(5-у)=47-(2у-3)(3у-1)

Ответы

Ответ дал: annacondyk03191
0
это еще не все, я нарисовала, если что не понятно, спрашивай
Приложения:
Вас заинтересует