Ответы
Ответ дал:
0
№22
Задачи на "смеси и сплавы" решаются одинаково: надо искать "сухой остаток".
20% = 0,2; 70% = 0,7; 50% = 0,5(половина)
I раствор его объём = х л
II раствор его объём = 100 - х
Ищем сухой остаток ( чистую соль)
I рствор содержит 0,2 х л соли
IIраствор содержит 0,7(100 - х) л соли
составим уравнение: 0,2х + 0,7(100 - х) = 50
решаем:
0,2х + 70 - 0,7х = 50
0,5х = 20
х = 40(л) - это I раствор
100- 40 = 60(л) - это II раствор.
№ 23
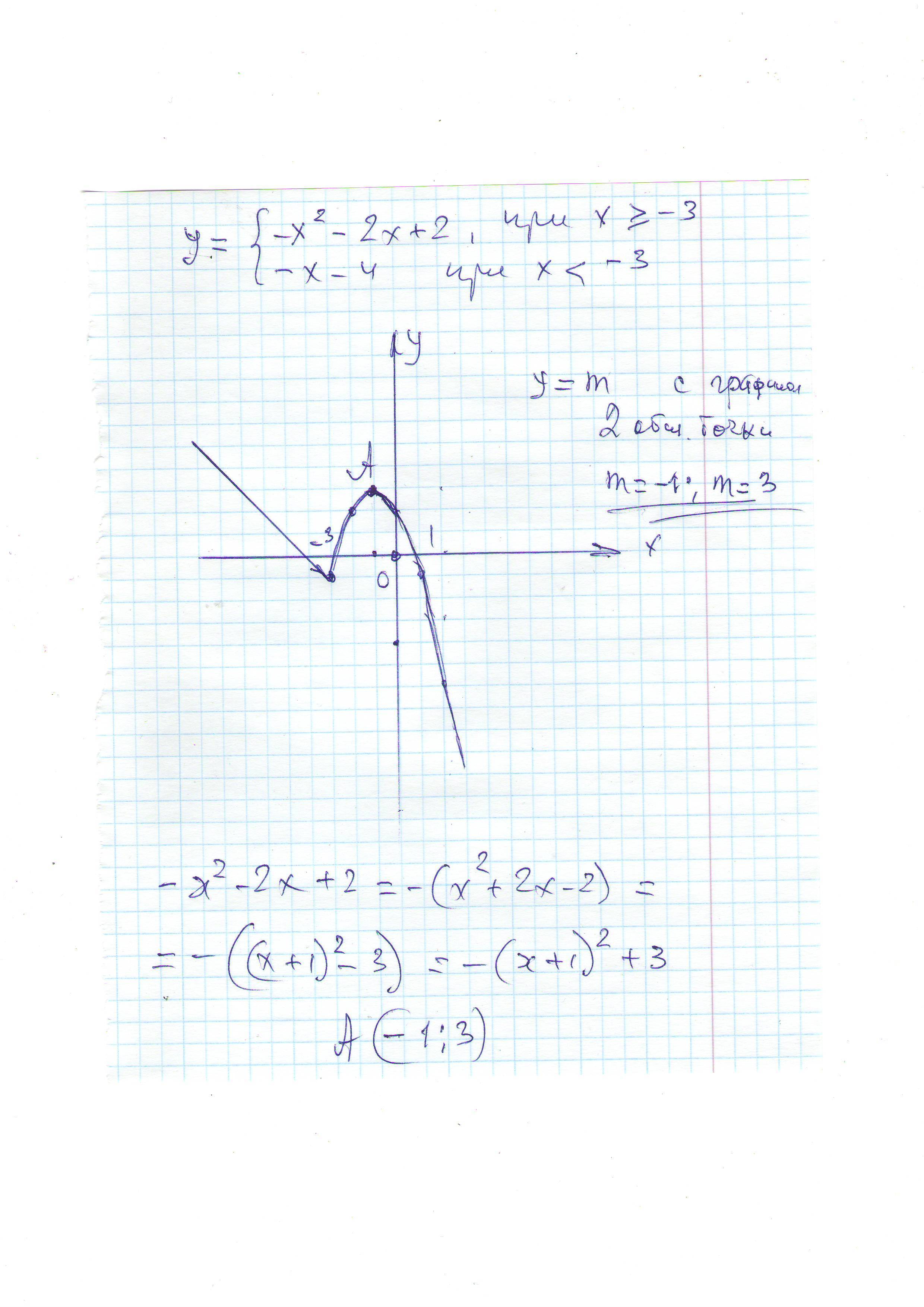
смотри в приложении. Это "кусочная" функция. Т.е. состоит из кусков. Один кусок- часть графика на одном участке, второй кусок - часть графика другой функции на другом участке.
Задачи на "смеси и сплавы" решаются одинаково: надо искать "сухой остаток".
20% = 0,2; 70% = 0,7; 50% = 0,5(половина)
I раствор его объём = х л
II раствор его объём = 100 - х
Ищем сухой остаток ( чистую соль)
I рствор содержит 0,2 х л соли
IIраствор содержит 0,7(100 - х) л соли
составим уравнение: 0,2х + 0,7(100 - х) = 50
решаем:
0,2х + 70 - 0,7х = 50
0,5х = 20
х = 40(л) - это I раствор
100- 40 = 60(л) - это II раствор.
№ 23
смотри в приложении. Это "кусочная" функция. Т.е. состоит из кусков. Один кусок- часть графика на одном участке, второй кусок - часть графика другой функции на другом участке.
Приложения:
Ответ дал:
0
xг-20% и 100-хг-70%
х*20+(100-х)*70=100*50
20х+7000-70х=5000
50х=7000-5000
50х=2000
х=2000:40
х=50г-20%
100-50=50г-70%
y=-x²-2x+2=-(x+1)²+3,x≥-3
Парабола у=-х²,ветви вниз,вершина (-1;3)
у=-х-4 прямая
х -3 -5
у -1 2
При m=-1 и m=3 прямая y=m имеет с графиком 2 точки общих точки
х*20+(100-х)*70=100*50
20х+7000-70х=5000
50х=7000-5000
50х=2000
х=2000:40
х=50г-20%
100-50=50г-70%
y=-x²-2x+2=-(x+1)²+3,x≥-3
Парабола у=-х²,ветви вниз,вершина (-1;3)
у=-х-4 прямая
х -3 -5
у -1 2
При m=-1 и m=3 прямая y=m имеет с графиком 2 точки общих точки
Приложения:
Вас заинтересует
2 года назад
2 года назад
7 лет назад
7 лет назад
10 лет назад
10 лет назад