Ответы
Ответ дал:
0
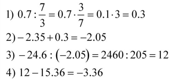
-24,6:(-2,35+0,7: 2 1/3)-15,36
Приложения:

Ответ дал:
0
спасибо большое
Вас заинтересует
2 года назад
7 лет назад
7 лет назад
9 лет назад
9 лет назад
10 лет назад