Ответы
Ответ дал:
0
Решение во вложении, если нужно подробнее, то читай ниже:
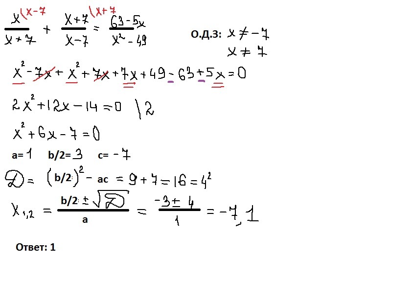
№5
1) приводим к общему множителю (обозначила красным)
2) приводим подобные (подчеркнула красным ) + фиолетовым обозначены знаки, которые я поменяла, так как перенесла через равно.
3) получившиеся члены делю на два
4) решаю через неполный дискриминант (b/2)
5) получается два ответа, но ты не должна забывать про О.Д.З, которые я тебе выписала исходя из знаменателя (на ноль делить нельзя)
Благодаря О.Д.З, мы выписываем один ответ (-7 - посторонний корень)
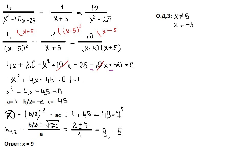
№6
1) Как видишь, во второй строчке я воспользовалась формулами, чтобы добиться похожих знаменателей.
2) приводим к общему множителю (обозначила красным)
3) приводим подобные + фиолетовым обозначены знаки, которые я поменяла, так как перенесла через равно.
3) получившиеся члены делю на минус один
4) решаю через неполный дискриминант (b/2)
5) получается два ответа, но ты не должна забывать про О.Д.З, которые я тебе выписала исходя из знаменателя (на ноль делить нельзя)
Благодаря О.Д.З, мы выписываем один ответ (-5 - посторонний корень)
№5
1) приводим к общему множителю (обозначила красным)
2) приводим подобные (подчеркнула красным ) + фиолетовым обозначены знаки, которые я поменяла, так как перенесла через равно.
3) получившиеся члены делю на два
4) решаю через неполный дискриминант (b/2)
5) получается два ответа, но ты не должна забывать про О.Д.З, которые я тебе выписала исходя из знаменателя (на ноль делить нельзя)
Благодаря О.Д.З, мы выписываем один ответ (-7 - посторонний корень)
№6
1) Как видишь, во второй строчке я воспользовалась формулами, чтобы добиться похожих знаменателей.
2) приводим к общему множителю (обозначила красным)
3) приводим подобные + фиолетовым обозначены знаки, которые я поменяла, так как перенесла через равно.
3) получившиеся члены делю на минус один
4) решаю через неполный дискриминант (b/2)
5) получается два ответа, но ты не должна забывать про О.Д.З, которые я тебе выписала исходя из знаменателя (на ноль делить нельзя)
Благодаря О.Д.З, мы выписываем один ответ (-5 - посторонний корень)
Приложения:


Ответ дал:
0
На здоров'Я обращайся
Приложения:



Вас заинтересует
2 года назад
2 года назад
6 лет назад
6 лет назад
9 лет назад
9 лет назад
10 лет назад