• Предмет: Математика
  • Автор: deevil
  • Вопрос задан 9 лет назад

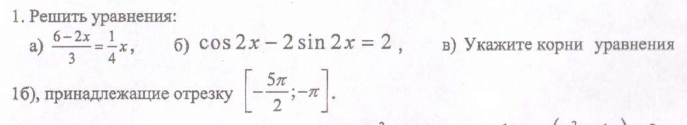
Помогите решить!!!Срочно!!!!!!!! ТОЛЬКО Б и В

Приложения:

Ответа на этот вопрос пока нет. Попробуйте найти его через форму поиска.

Вас заинтересует