Ответы
Ответ дал:
0
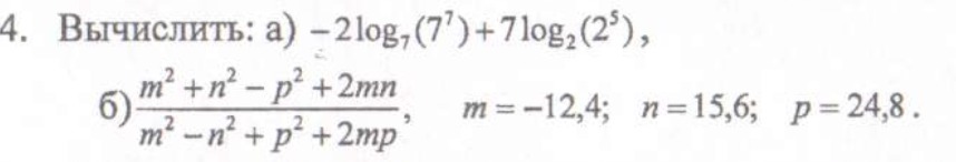
-2*7 log 7 7 +7*5 log2 2=-14*1+35*1=21 (loga a=1)
m^2+2mn+ n^2 -p^2 / m^2+2mp+p^2-n^2= (m+n)2-p^2/ (m+p)^2- n^2=
(в числителе и знаменателе разность квадратов а^2-b^2=(a-b)(a+b))
(m+n)-p)(m+n)+p)/(m+p)-n)(m+p)+n)= -12.4+15,6-24,8/-12,4+24,8-15,6=
-21,6/-3.2=6.75
m^2+2mn+ n^2 -p^2 / m^2+2mp+p^2-n^2= (m+n)2-p^2/ (m+p)^2- n^2=
(в числителе и знаменателе разность квадратов а^2-b^2=(a-b)(a+b))
(m+n)-p)(m+n)+p)/(m+p)-n)(m+p)+n)= -12.4+15,6-24,8/-12,4+24,8-15,6=
-21,6/-3.2=6.75
Ответ дал:
0
a
=-2*7+7*5=-14+35=21 (log(a)b^n=n*log(a)b; log(a)a=1)
б
[(m²+n²+2mn)-p²]/[(m²+p²+2mp)-n²]=[(m+n)²-p²]/[(m+p)²-n²]
=(m+n-p)(m+n+p)/(m+p-n)(m+p+n)=(m+n-p)/(m+p-n)
m=-12,4;n=15;6;p=24,8
(-12,4+15,6-24,8)/(-12,4+24,8-15,6)=-21,6/(-3,2)=6,75
=-2*7+7*5=-14+35=21 (log(a)b^n=n*log(a)b; log(a)a=1)
б
[(m²+n²+2mn)-p²]/[(m²+p²+2mp)-n²]=[(m+n)²-p²]/[(m+p)²-n²]
=(m+n-p)(m+n+p)/(m+p-n)(m+p+n)=(m+n-p)/(m+p-n)
m=-12,4;n=15;6;p=24,8
(-12,4+15,6-24,8)/(-12,4+24,8-15,6)=-21,6/(-3,2)=6,75
Вас заинтересует
2 года назад
7 лет назад
7 лет назад
10 лет назад
10 лет назад