• Предмет: Алгебра
  • Автор: Алкадиеныч
  • Вопрос задан 2 года назад

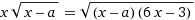
Решить параметр.
Найти значения параметра а, при которых уравнение имеет единственное решение на промежутке от [0; 1]

Приложения:

bearcab: Тогда кратность корня 0,5 равна 2
bearcab: корень будет один, но кратность его равна 2)
Алкадиеныч: Будет 3 корня, x=0.5 x=3-√6 x=3+√6 И два из них попадают в промежуток) А нужно чтобы был один)
bearcab: вот непонятно откуда взялись х=3-корень из6?
Алкадиеныч: Разложите на множители и приравняйте к нулю))
bearcab: Хотите сказать, что (0,5; 3- корень из 6)
Алкадиеныч: Нет, будет a<0 a>1 и a(3-√6) Это мое предположение. Но вроде все правильно
bearcab: вроде так
Алкадиеныч: Пишите решение)
bearcab: Знаете, я тут думаю вот что: В ОДЗ х>=a. При а>1 получается x>1. Значит нет корней в промежутке [0;1]. Скорее всего промежуток а>1 не подходит.

Ответы

Ответ дал: bearcab
1
Решение в приложении.

Ответ: a∈(-∞;0)∪{3-√6}∪(1;+∞)
Приложения:
Вас заинтересует