Ответы
Ответ дал:
1
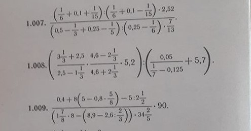
ответ с полным решением на фото. примеры легкие но очень объемные.
Порядок действий, сами действия и ответы в действиях, выделила цветным маркером, что бы не сливалось.
P.s. ☆ Пояснения:
▪#1.007
А - числитель
Б - знаменатель
▪#1.008
А - первая скобка
Б - вторая скобка
▪#1.009
А - числитель дроби весь, (в нем два 1 действия - это скобка в числителе)
Б - знаменатель дроби весь (его я уже делала по действиям в цепочку)
_______________________
Ну, надеюсь все понятно. удачи!!!
Порядок действий, сами действия и ответы в действиях, выделила цветным маркером, что бы не сливалось.
P.s. ☆ Пояснения:
▪#1.007
А - числитель
Б - знаменатель
▪#1.008
А - первая скобка
Б - вторая скобка
▪#1.009
А - числитель дроби весь, (в нем два 1 действия - это скобка в числителе)
Б - знаменатель дроби весь (его я уже делала по действиям в цепочку)
_______________________
Ну, надеюсь все понятно. удачи!!!
Приложения:

Вас заинтересует
1 год назад
1 год назад
2 года назад
3 года назад
3 года назад