Ответы
Ответ дал:
1
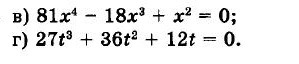
в) выносим x^2 за скобки:
x^2(81x^2-18x+1)=0
x^2((9x)^2-2*9x+1^2)=0
в скобках видна формула квадрат разности:
x^2(9x-1)^2=0
по свойству произведения:
x^2=0
x1=0
или
9x-1=0
9x=1
x2=1/9
Ответ: x1=0; x2=1/9
г)t(27t^2+36t+12)=0
по свойству произведения:
t=0
или
27t^2+36t+12=0
9t^2+12t+4=0
здесь видим формулу квадрат суммы:
(3t)^2+2*3*2t+2^2=0
(3t+2)^2=0
3t+2=0
3t=-2
t2=-2/3
Ответ: t1=0; t2=-2/3
x^2(81x^2-18x+1)=0
x^2((9x)^2-2*9x+1^2)=0
в скобках видна формула квадрат разности:
x^2(9x-1)^2=0
по свойству произведения:
x^2=0
x1=0
или
9x-1=0
9x=1
x2=1/9
Ответ: x1=0; x2=1/9
г)t(27t^2+36t+12)=0
по свойству произведения:
t=0
или
27t^2+36t+12=0
9t^2+12t+4=0
здесь видим формулу квадрат суммы:
(3t)^2+2*3*2t+2^2=0
(3t+2)^2=0
3t+2=0
3t=-2
t2=-2/3
Ответ: t1=0; t2=-2/3
Eira02:
Благодарю за ответ)
Ответ дал:
1
Решение в прикреплённом файлике.
Удачи!
__________________
Sunny Storm (Darknight)
Удачи!
__________________
Sunny Storm (Darknight)
Приложения:
Ого, спасибо большое!
Пожалуйста =)
Вас заинтересует
2 года назад
2 года назад
2 года назад
2 года назад
3 года назад
3 года назад
9 лет назад