• Предмет: Математика
  • Автор: Аноним
  • Вопрос задан 2 года назад

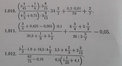
Помогите решить .образец есть на 2 фото на 1 фото 3 примера

Приложения:

Аноним: ого галицкий!
Аноним: мне лень писать скажу принципы
Аноним: 1) все дроби делаешь неправильными
Аноним: то есть целую часть заносишь в числитель
Аноним: 2) все деление заменяешь на умножение, переворачивая дроби
Аноним: 3) десятичные дроби делаешь обыкновенными например 0,1 = 1/10
Аноним: 4) посто делаешь действия по порядку. Здесь нужно считать

Ответы

Ответ дал: irinan2014
0
Решение дано на фото.
Приложения:
Вас заинтересует