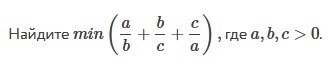
Ответы
                                            Ответ дал: 
                                                                                            
                                                    
                                                
                                                                                    
                                        
                                            
                                                
                                                
                                                
                                                    2
                                                
                                            
                                        
                                    
                                        Так как все числа положительные можно использовать неравенство Коши, гласящее что среднее арифметическое больше или равно среднему геометрическому. 
1)Сначала приведем к общему знаменателю abc:

2)Рассмотрим числитель этой дроби и применим к нему неравенство Коши:
![\frac{a^{2}c+ b^{2}a+ c^{2}b }{3}  \geq  \sqrt[3]{a^{2}c* b^{2}a* c^{2}b }   \frac{a^{2}c+ b^{2}a+ c^{2}b }{3}  \geq  \sqrt[3]{a^{2}c* b^{2}a* c^{2}b }](https://tex.z-dn.net/?f=+%5Cfrac%7Ba%5E%7B2%7Dc%2B+b%5E%7B2%7Da%2B+c%5E%7B2%7Db+%7D%7B3%7D++%5Cgeq++%5Csqrt%5B3%5D%7Ba%5E%7B2%7Dc%2A+b%5E%7B2%7Da%2A+c%5E%7B2%7Db+%7D+)
откуда:
![a^{2}c+ b^{2}a+ c^{2}b  \geq 3 \sqrt[3]{ a^{3}b^{3}c^{3} }  a^{2}c+ b^{2}a+ c^{2}b  \geq 3 \sqrt[3]{ a^{3}b^{3}c^{3} }](https://tex.z-dn.net/?f=a%5E%7B2%7Dc%2B+b%5E%7B2%7Da%2B+c%5E%7B2%7Db++%5Cgeq+3+%5Csqrt%5B3%5D%7B+a%5E%7B3%7Db%5E%7B3%7Dc%5E%7B3%7D+%7D+)

3) Теперь разделим обе части неравенства на abc, чтоб в левой части получить исходное выражение:

Значит если выражение больше либо равно трем, то наименьшее значение выражения 3
                                        
                                        
                                1)Сначала приведем к общему знаменателю abc:
2)Рассмотрим числитель этой дроби и применим к нему неравенство Коши:
откуда:
3) Теперь разделим обе части неравенства на abc, чтоб в левой части получить исходное выражение:
Значит если выражение больше либо равно трем, то наименьшее значение выражения 3
Вас заинтересует
                
                        1 год назад
                    
                
                        2 года назад
                    
                
                        2 года назад
                    
                
                        3 года назад
                    
                
                        3 года назад
                    
                
                        8 лет назад
                    
                
                        8 лет назад
                    
                