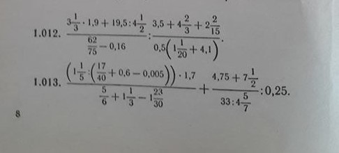
решите пожалуйста по образцу все примеры .чтоб были чёткие фотки
Приложения:


HSS9860:
Это сборник задач под редакцией Сканави М.И.?
Ответы
Ответ дал:
0
.........................
Приложения:

Вас заинтересует
1 год назад
1 год назад
2 года назад
2 года назад
3 года назад
3 года назад
8 лет назад
8 лет назад