• Предмет: Математика
  • Автор: rey4376
  • Вопрос задан 2 года назад

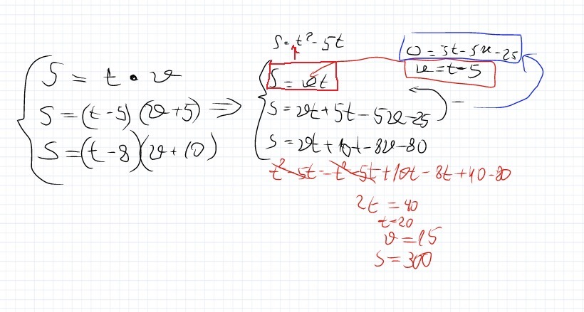
Петя регулярно совершает поездки на велосипеде из пункта А в пункт Б, всегда с одной и той же постоянной скоростью. Однажды Петя захотел приехать в Б раньше, чем обычно, и подсчитал, что если он будет двигаться со скоростью на 5 км/ч большей, чем обычно, то приедет на 5 часов раньше, чем обычно, а если он будет двигаться со скоростью на 10 км/ч большей – на 8 часов раньше. Какова обычная скорость Пети?

Ответы

Ответ дал: volkodav575
1
Решение во вложении, надеюсь, что разберёшься
Приложения:
Вас заинтересует