Ответы
Ответ дал:
1
Ответ фоткан............
Приложения:

AnonimusPro:
у вас ошибка: sqrt(2)^2=2, а не 4
Ответ дал:
1
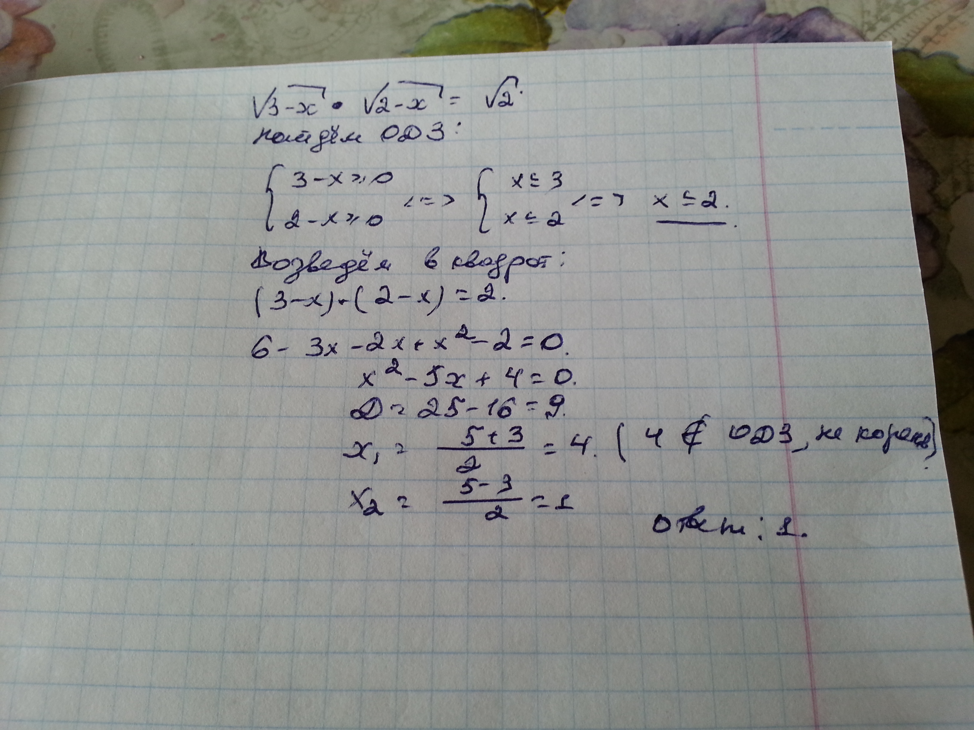
возведем обе части в квадрат, но:
и 
значит![x \in (-\infty;2] x \in (-\infty;2]](https://tex.z-dn.net/?f=x+%5Cin+%28-%5Cinfty%3B2%5D)
![(3-x)(2-x)=2
\\6-3x-2x+x^2=2
\\x^2-5x+4=0
\\D=25-16=9=3^2
\\x_1= \frac{5+3}{2}=4 \notin (-\infty;2]
\\ x_2=1 \in (-\infty;2]
(3-x)(2-x)=2
\\6-3x-2x+x^2=2
\\x^2-5x+4=0
\\D=25-16=9=3^2
\\x_1= \frac{5+3}{2}=4 \notin (-\infty;2]
\\ x_2=1 \in (-\infty;2]](https://tex.z-dn.net/?f=%283-x%29%282-x%29%3D2%0A%5C%5C6-3x-2x%2Bx%5E2%3D2%0A%5C%5Cx%5E2-5x%2B4%3D0%0A%5C%5CD%3D25-16%3D9%3D3%5E2%0A%5C%5Cx_1%3D+%5Cfrac%7B5%2B3%7D%7B2%7D%3D4+%5Cnotin+%28-%5Cinfty%3B2%5D%0A%5C%5C+x_2%3D1+%5Cin+%28-%5Cinfty%3B2%5D%0A)
Ответ: x=1
значит
Ответ: x=1
Вас заинтересует
1 год назад
2 года назад
3 года назад
3 года назад
8 лет назад