Ответы
Ответ дал:
1
Разберем каждую часть отдельно


Ответ дал:
0
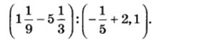
1целая1\9-5целых1\3=-4целых2\9
-1\5+2целых1\10=-2целых1\10
-4целых2\9*-2целых1\10=2целых2\189
-1\5+2целых1\10=-2целых1\10
-4целых2\9*-2целых1\10=2целых2\189
Вас заинтересует
2 года назад
2 года назад
2 года назад
3 года назад
9 лет назад