• Предмет: Математика
  • Автор: ANNA22112017
  • Вопрос задан 2 года назад

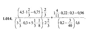
Решите пожалуйста по действиям!!ответы должны быть 2-4,3-8,в остальных есть ответы дам 25 б.Решите пожалуйста все что сможите

Приложения:

Ответы

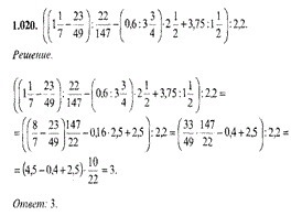
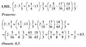
Ответ дал: zaicdnk90
1
......................
Приложения:
Вас заинтересует