Ответы
Ответ дал:
1
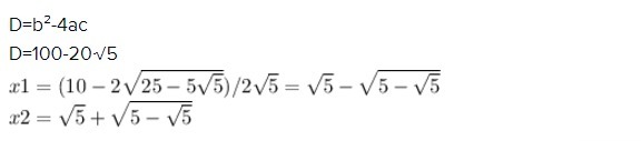
(10-2√(25-5√5))/2√5=
выношу за скобку 2 в числителе
2(5-√(25-5√5))/2√5=
уничтожаем двойки и выносим в корне 5
5-√(25-5√5)/√5=
5-√(5(5-√5))/√5=
5-√5 (5-√5)/√5=
выносим в числители √5 за скобку
√5(√5-√5-√5)/√5=
уничтожаем √5
(√5-√5-√5)
надеюсь понятно
выношу за скобку 2 в числителе
2(5-√(25-5√5))/2√5=
уничтожаем двойки и выносим в корне 5
5-√(25-5√5)/√5=
5-√(5(5-√5))/√5=
5-√5 (5-√5)/√5=
выносим в числители √5 за скобку
√5(√5-√5-√5)/√5=
уничтожаем √5
(√5-√5-√5)
надеюсь понятно
Вас заинтересует
2 года назад
2 года назад
2 года назад
2 года назад
3 года назад
3 года назад
9 лет назад
5-√5 (5-√5)/√5 чем у вас эти 2 записи отличаются?