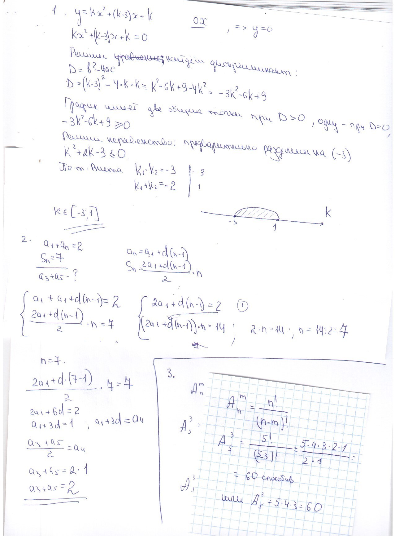
1)Для каких значениях параметра k график функции y=kx^2+(k-3)x+k имеет общие точки с осью OX?
2)Сумма первого и n-го членов арифметической прогрессии равна 2, а сумма n последовательных членов это прогрессии равна 7. Найдите сумму третьего и пятого членов прогрессии.
3)Сколько существует способов рассадить 3 пассажиров на 5 мест?
zik5356:
Люди все лень !!!
Ответы
Ответ дал:
0
Смотри на листочке решения
Приложения:

Вас заинтересует
1 год назад
2 года назад
2 года назад
3 года назад
3 года назад
8 лет назад
8 лет назад