Помогите пожалуйста с химией
Имеются водные растворы следующих веществ : H2SO4, BaCl2,K2SO4,HCl.Напишите молекулярные и ионные уравнение реакции, которые можно осуществить между ними?
Ответы
Ответ дал:
2
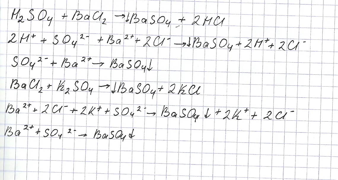
Ответ в фото, для проведения реакции нужно, чтобы появлялся либо осадок, либо летучее вещество. ВаSO4 как раз выпадает в осадок. Уравнения идут в таком порядке: Молекулярное - ионное - краткое ионное.
Приложения:

Ответ дал:
2
H₂SO₄ + BaCl₂ = BaSO₄↓ + 2HCl
2H⁺+SO₄²⁻ + Ba²⁺+2Cl⁻ = BaSO₄↓ + 2H⁺+2Cl⁻
Ba²⁺ + SO₄²⁻ = BaSO₄↓
BaCl₂ + K₂SO₄ = BaSO₄↓ + 2KCl
Ba²⁺+2Cl⁻+2K⁺+SO₄²⁻ = BaSO₄↓ + 2K⁺+2Cl⁻
Ba²⁺+SO₄²⁻ = BaSO₄↓
2H⁺+SO₄²⁻ + Ba²⁺+2Cl⁻ = BaSO₄↓ + 2H⁺+2Cl⁻
Ba²⁺ + SO₄²⁻ = BaSO₄↓
BaCl₂ + K₂SO₄ = BaSO₄↓ + 2KCl
Ba²⁺+2Cl⁻+2K⁺+SO₄²⁻ = BaSO₄↓ + 2K⁺+2Cl⁻
Ba²⁺+SO₄²⁻ = BaSO₄↓
Вас заинтересует
1 год назад
2 года назад
3 года назад
3 года назад
8 лет назад