Ответы
Ответ дал:
2
!!!!!!!!!!!!!!!!!!!!!!!!!!!!!!!!!
Приложения:
Ответ дал:
0
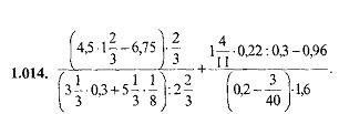
1)4 1/2*1 2/3=9/2*5/3=15/2=7,5
2)7,5-6,75=0,75
3)0,75*2/3=3/4*2/3=1/2=0,5
4)3 1/3*0,3=10/3*3/10=1
5)5 1/3*1/8=16/3*1/8=2/3
6)1 +2/3=1 2/3
7)1 2/3:2 2/3=5/3*3/8=5/8=0,625
8)0,5:0,625=0,8
9)1 4/11*0,22=15/11*22/100=3/10=0,3
10)0,3:0,3=1
11)1-0,96=0,04
12)0,2-3/40=0,2-0,075=0,125
13)0,125*1,6=0,2
14)0,04:0,2=0,2
15)0,8+0,2=1
2)7,5-6,75=0,75
3)0,75*2/3=3/4*2/3=1/2=0,5
4)3 1/3*0,3=10/3*3/10=1
5)5 1/3*1/8=16/3*1/8=2/3
6)1 +2/3=1 2/3
7)1 2/3:2 2/3=5/3*3/8=5/8=0,625
8)0,5:0,625=0,8
9)1 4/11*0,22=15/11*22/100=3/10=0,3
10)0,3:0,3=1
11)1-0,96=0,04
12)0,2-3/40=0,2-0,075=0,125
13)0,125*1,6=0,2
14)0,04:0,2=0,2
15)0,8+0,2=1
Вас заинтересует
2 года назад
2 года назад
3 года назад
3 года назад
9 лет назад