Ответы
Ответ дал:
0
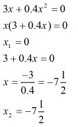
Решение смотрите на картинке
0>-7,5
Ответ: 0
0>-7,5
Ответ: 0
Приложения:
Ответ дал:
0
ответ: 0
Ответ дал:
0
0,4х²+3х=0
0,4х(х+7,5)=0 0,4 сокращается, и остается только: х(х+7,5)=0. Тут х=0 х=-7,5
Наибольший корень- это 0→ответ).
0,4х(х+7,5)=0 0,4 сокращается, и остается только: х(х+7,5)=0. Тут х=0 х=-7,5
Наибольший корень- это 0→ответ).
Приложения:
Вас заинтересует
2 года назад
2 года назад
7 лет назад
7 лет назад
9 лет назад
10 лет назад
10 лет назад