• Предмет: Математика
  • Автор: МаШа555111
  • Вопрос задан 11 лет назад

 

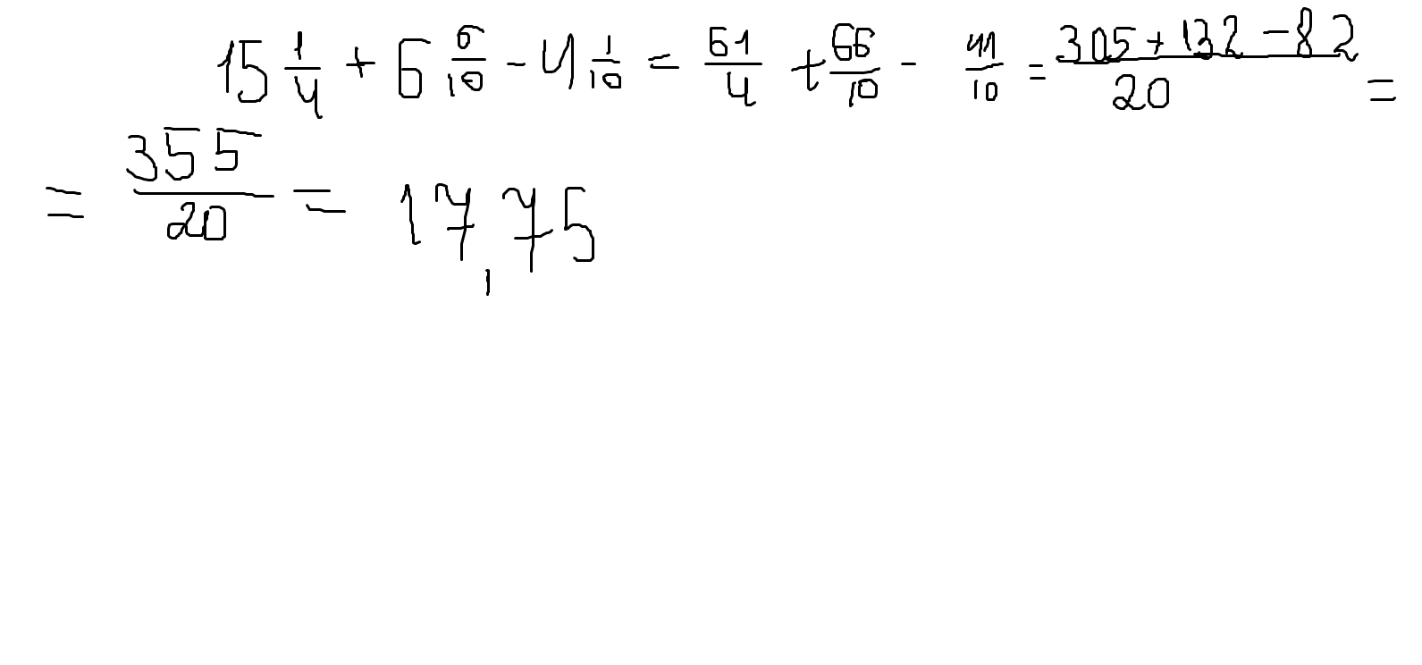
15 целых , 1(одна), 4(четвёртая) + 6,6 - 4 (целых) 1 (одна) 10(десятая)

Ответы

Ответ дал: Yana1847
0
вероятно, так.                                                                          
Приложения:
Вас заинтересует