Ответы
Ответ дал:
0
:)))))))))))))))))))))))))))
Приложения:

Ответ дал:
0
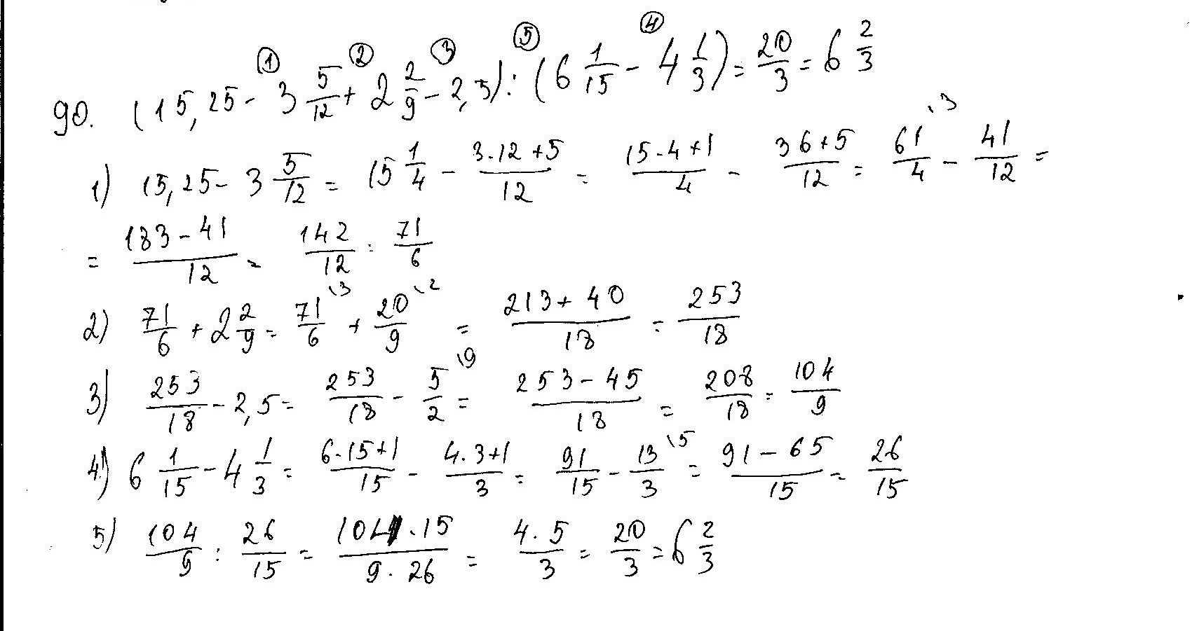
1)15,25-2,5=12,75=12 3/4
2)-3 5/12+2 2/9=-3 15/36+2 8/36=-1 7/36
3)12 3/4-1 7/36=12 27/36-1 7/36=11 20/36=11 5/9
4)6 1/15-4 1/3=5 16/15-4 5/15=1 11/15
5)11 5/9:1 11/15=104/9*15/26=20/3=6 2/3
2)-3 5/12+2 2/9=-3 15/36+2 8/36=-1 7/36
3)12 3/4-1 7/36=12 27/36-1 7/36=11 20/36=11 5/9
4)6 1/15-4 1/3=5 16/15-4 5/15=1 11/15
5)11 5/9:1 11/15=104/9*15/26=20/3=6 2/3
Приложения:

Вас заинтересует
2 года назад
2 года назад
7 лет назад
7 лет назад
9 лет назад
10 лет назад