Ответы
Ответ дал:
0
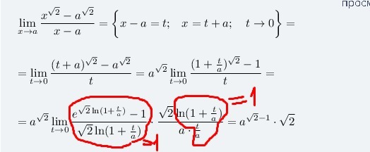
Приложения:

Ответ дал:
0
в профиле вопрос))
Ответ дал:
0
Эквивалентность в школе не учат ) только замечательные пределы, затем после них идет правило Лопиталя )
Ответ дал:
0
Так же само как и в Универе )
Ответ дал:
0
Тем более решил по просьбе пользователя
Ответ дал:
0
ну хорошо, просто у нас в школе были как эквивалентности, так и правило Лопиталя, поэтому я и не понял как нужно было решить
Вас заинтересует
2 года назад
2 года назад
6 лет назад
6 лет назад
9 лет назад
9 лет назад