Ответы
Ответ дал:
0
Приложения:

Ответ дал:
0
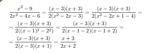
А в знаменателе разве не формула?
Вас заинтересует
2 года назад
2 года назад
6 лет назад
6 лет назад
9 лет назад
9 лет назад
10 лет назад