Ответы
Ответ дал:
0
:))))))))))))))))))))))))))))))))
Приложения:

Ответ дал:
0
форма записи ответа не на 50 баллов)
Ответ дал:
0
могу в рамочку обвести, тогда будет на 50 баллов?
Ответ дал:
0
не знаю
Ответ дал:
0
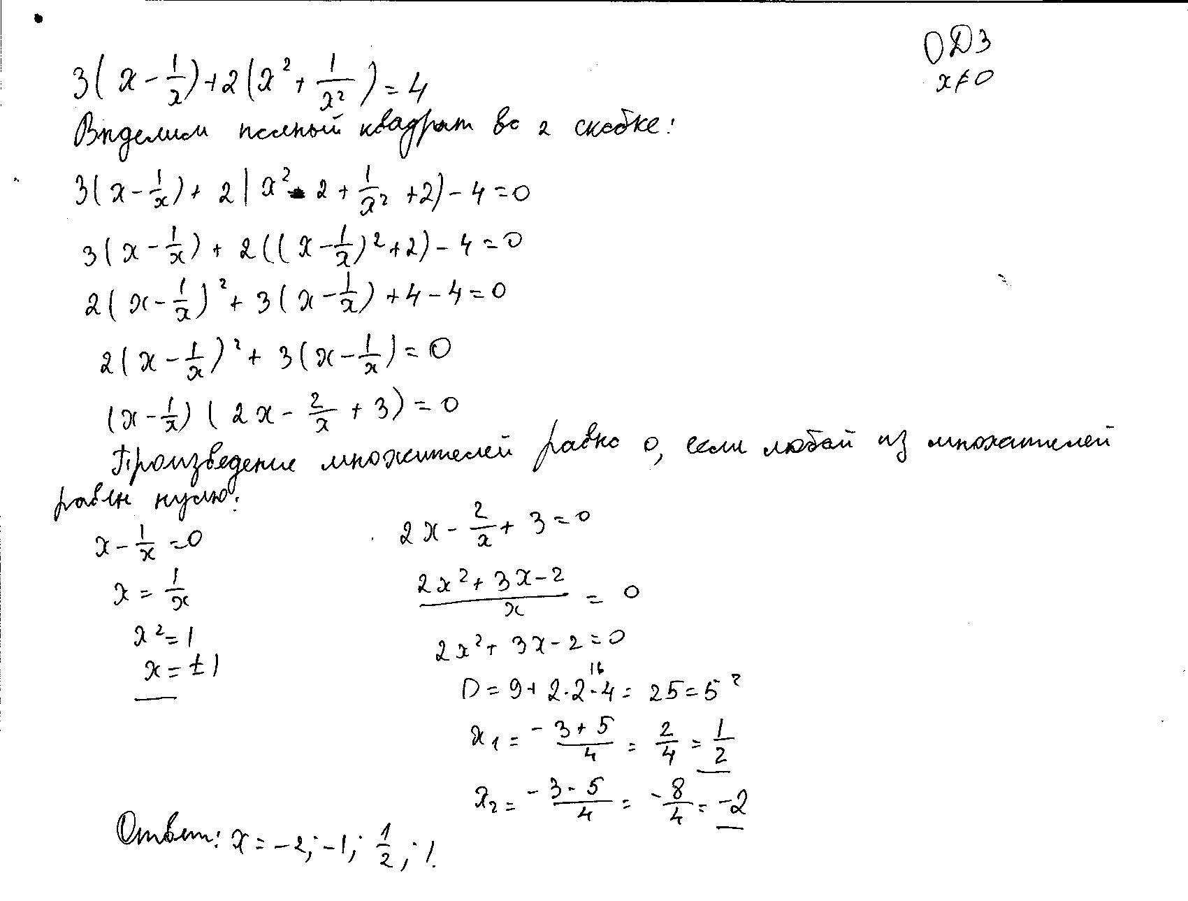
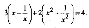
делаем замену:
y=(x-(1/x))
тогда:
y^2=x^2-2+(1/x^2)
y^2+2=x^2+(1/x^2)
подставляем в уравнение:
3y+2(y^2+2)=4
3y+2y^2+4=4
2y^2+3y=0
y(2y+3)=0
y=0 или 2y+3=0; 2y=-3; y=-1,5
делаем обратную замену:
x-(1/x)=0
умножаем на x при этом x не равен 0:
x^2-1=0
x^2=1
x1=1;
x2=-1
x-(1/x)=-1,5
x^2+1,5x-1=0, при этом x не равен 0
D=1,5^2+4=6,25=2,5^2
x1=(-1,5+2,5)/2=1/2=0,5
x2=-4/2=-2
Ответ: x1=1; x2=-1; x3=0,5; x4=-2
y=(x-(1/x))
тогда:
y^2=x^2-2+(1/x^2)
y^2+2=x^2+(1/x^2)
подставляем в уравнение:
3y+2(y^2+2)=4
3y+2y^2+4=4
2y^2+3y=0
y(2y+3)=0
y=0 или 2y+3=0; 2y=-3; y=-1,5
делаем обратную замену:
x-(1/x)=0
умножаем на x при этом x не равен 0:
x^2-1=0
x^2=1
x1=1;
x2=-1
x-(1/x)=-1,5
x^2+1,5x-1=0, при этом x не равен 0
D=1,5^2+4=6,25=2,5^2
x1=(-1,5+2,5)/2=1/2=0,5
x2=-4/2=-2
Ответ: x1=1; x2=-1; x3=0,5; x4=-2
Приложения:

Вас заинтересует
2 года назад
2 года назад
7 лет назад
9 лет назад