Ответы
Ответ дал:
0
:)))))))))))))))))))))))))))))))
Приложения:
Ответ дал:
0
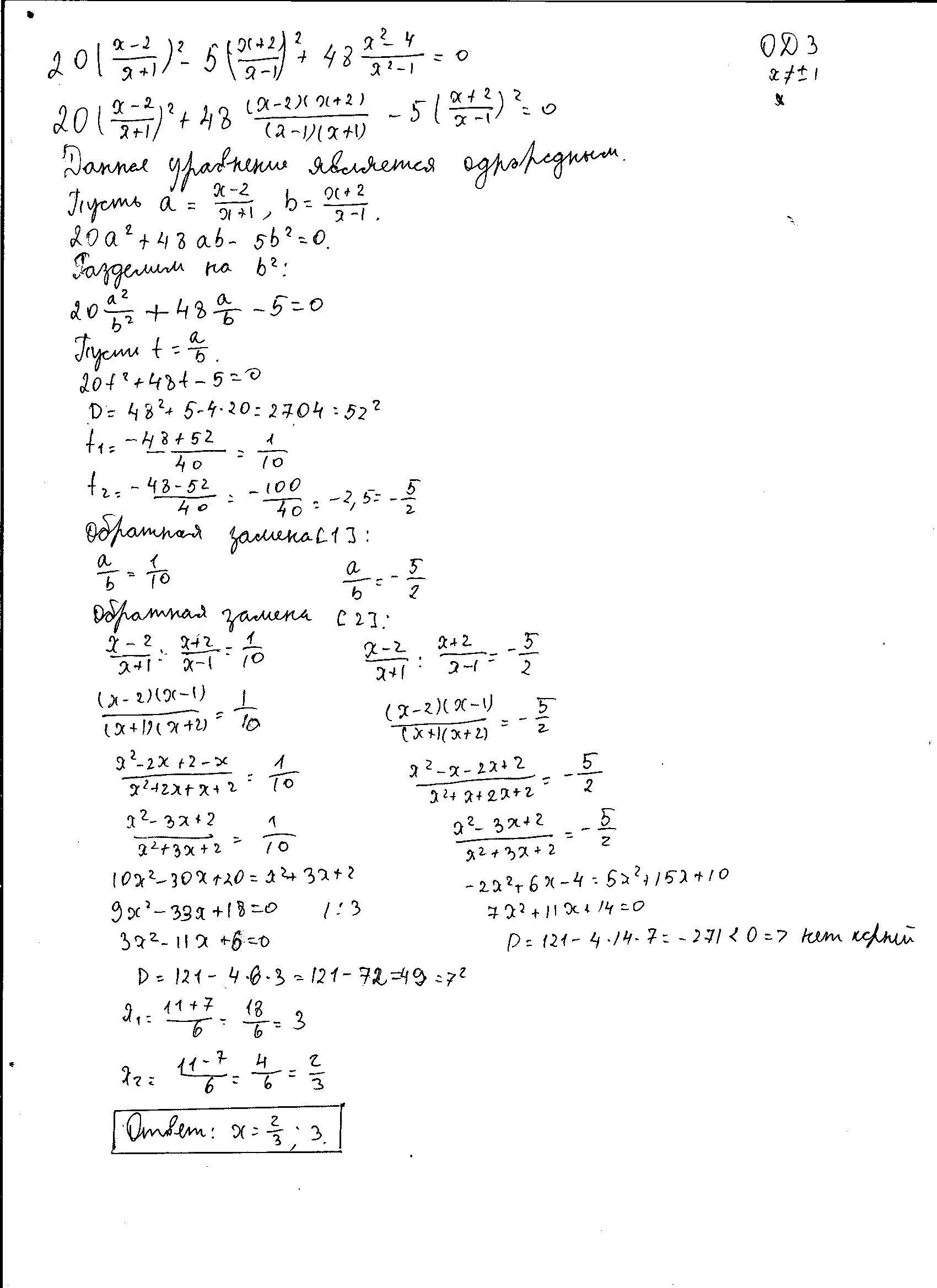
это уравнение однородное.
одз:

поэтому мы можем разделить обе части на

обратная замена:


Ответ:
одз:
поэтому мы можем разделить обе части на
обратная замена:
Ответ:
Приложения:
Вас заинтересует
2 года назад
2 года назад
7 лет назад
7 лет назад
10 лет назад
10 лет назад
10 лет назад
10 лет назад