Ответы
Ответ дал:
0
!!!!!!!!!!!!!!!!!!!!!!
Приложения:
Ответ дал:
0
1

2
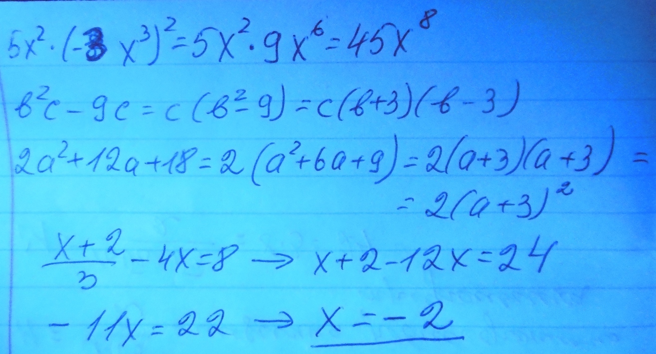
b²c-9c=c(b²-9)=c(b-3)(b+3)
2a²+12a+18=2(a²+6a+9)=2(a+3)²
3
(x+2)/3 -4x=8
/*3
x+2-12x=24
-11x=24-2
-11x=22
x=-2
2
b²c-9c=c(b²-9)=c(b-3)(b+3)
2a²+12a+18=2(a²+6a+9)=2(a+3)²
3
(x+2)/3 -4x=8
/*3
x+2-12x=24
-11x=24-2
-11x=22
x=-2
Приложения:
Вас заинтересует
2 года назад
7 лет назад
7 лет назад
10 лет назад
10 лет назад