Ответы
Ответ дал:
0
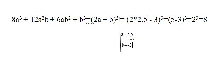
Я так понимаю, что имелось в виду это
Приложения:

Вас заинтересует
7 лет назад
7 лет назад
9 лет назад
9 лет назад