Ответы
Ответ дал:
0
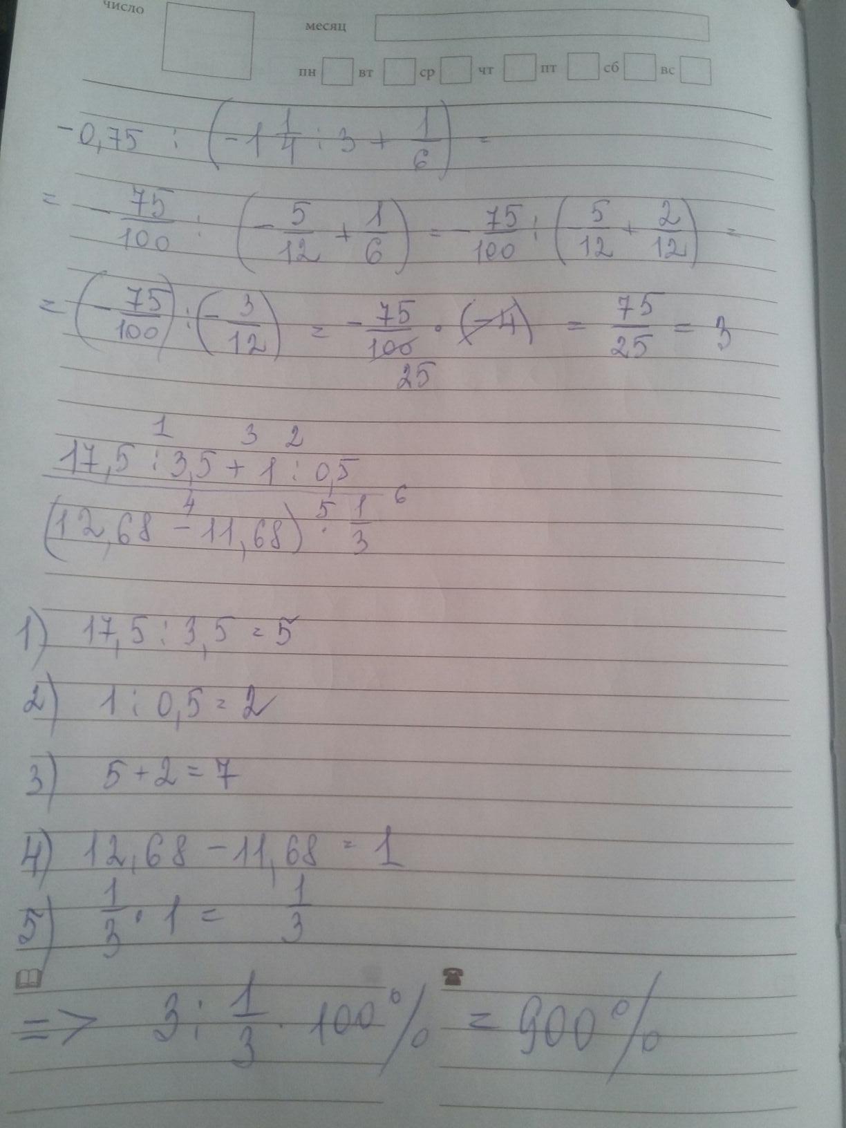
ответ смотрите во вложении
Приложения:

Ответ дал:
0
извиняюсь забыла 6 действие во втором выражении вычислить там получается ответ 21
Ответ дал:
0
а значит 3:21*100%
Вас заинтересует
2 года назад
2 года назад
6 лет назад
6 лет назад
9 лет назад
10 лет назад