• Предмет: Алгебра
  • Автор: funnynegr14
  • Вопрос задан 2 года назад

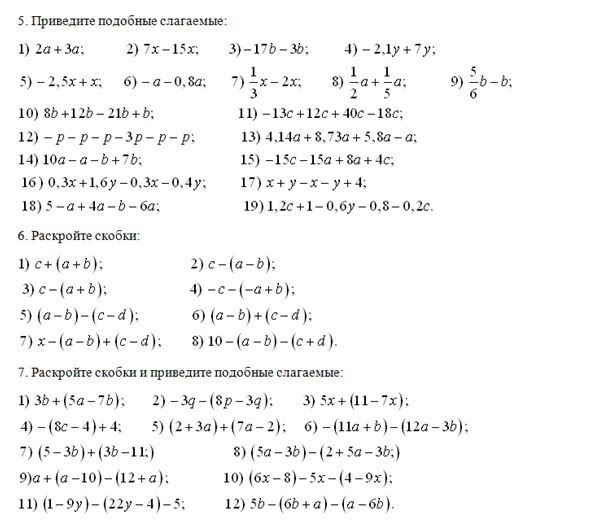
помогите с номером 6. Срочно.

Приложения:

Ответы

Ответ дал: NeuTroN1Star
1
1) c+a+b
2) c-a+b
3)c-a-b
4) -c+a-b
5) a-b-c+d
6) a-b+c-d
7) x-a+b+c-d
8) 10-a+b-c-d
Ответ дал: Newton1337
1
1) c+a+b  \\ 2) c-a+b \\ 3)c-a-b \\ 4) -c+a-b \\ 5)a-b-c+d \\ 6)a-b+c-d \\ 7)x-a+b+c-d \\ 8)10-a+b-c-d
Вас заинтересует