Ответы
Ответ дал:
0
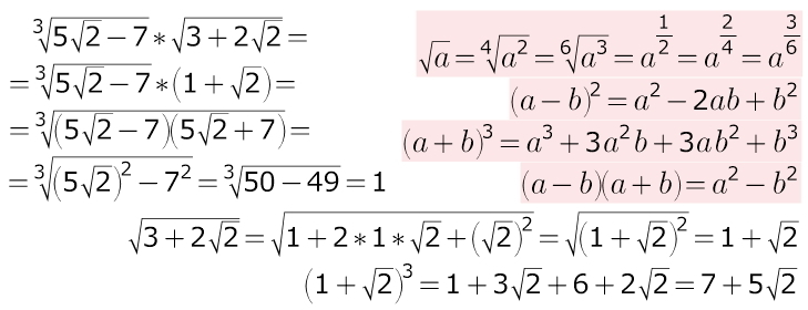
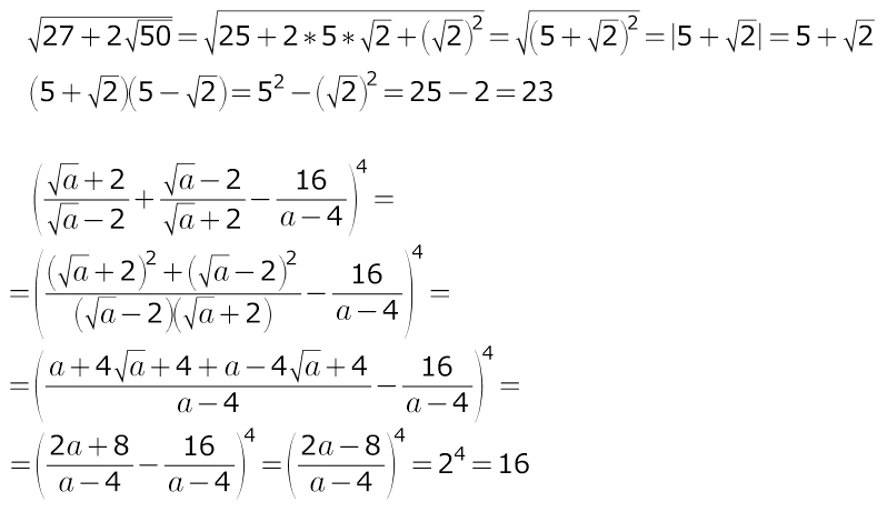
формулы:
куб суммы, квадрат суммы и разность квадратов))
куб суммы, квадрат суммы и разность квадратов))
Приложения:


Вас заинтересует
2 года назад
2 года назад
7 лет назад
9 лет назад
9 лет назад
10 лет назад