Ответы
Ответ дал:
0
:))))))))))))))))))))))))))))))
Приложения:

Ответ дал:
0
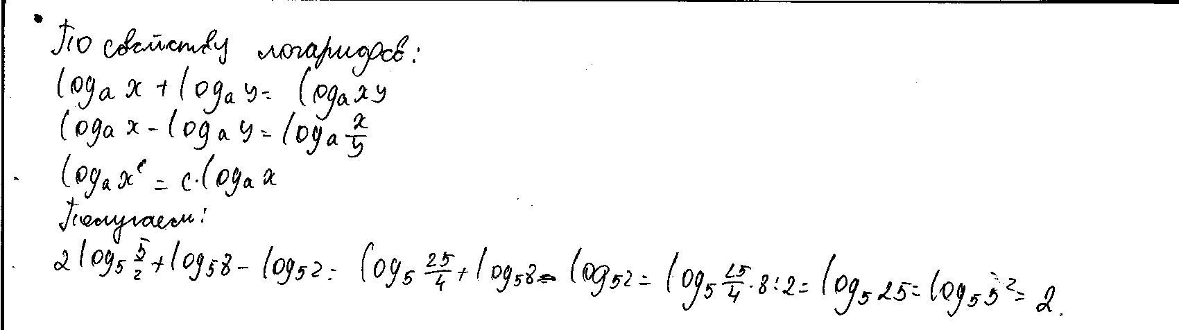
n*log(a)b=log(a)(b^n)
log(a)b+log(a)c=log(a)(bc)
log(a)b-log(a)c=log(a)(b/c)
--------------------------------------
2log(5)5/2+log(5)8-log(5)2=log(5)(25/4*8:2)=log(5)25=2
log(a)b+log(a)c=log(a)(bc)
log(a)b-log(a)c=log(a)(b/c)
--------------------------------------
2log(5)5/2+log(5)8-log(5)2=log(5)(25/4*8:2)=log(5)25=2
Приложения:

Вас заинтересует
2 года назад
7 лет назад
7 лет назад
9 лет назад
10 лет назад
10 лет назад