Ответы
Ответ дал:
0
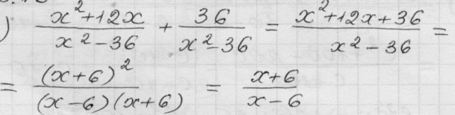
Так как это формула сокращенного умножения
a^2+2ab+b^2=(a+b)^2
Если применить ее к вашему примеру , то 12x " исчезнет "
a^2+2ab+b^2=(a+b)^2
Если применить ее к вашему примеру , то 12x " исчезнет "
Приложения:

Ответ дал:
0
Спасибеще)
Ответ дал:
0
Пожалуйста
Вас заинтересует
2 года назад
7 лет назад
7 лет назад
9 лет назад
10 лет назад