• Предмет: Алгебра
  • Автор: valerijroyal913
  • Вопрос задан 9 лет назад

напишите пожалуйста как решить , желательно на бумаге пожалуйста .

Приложения:

Ответы

Ответ дал: hote
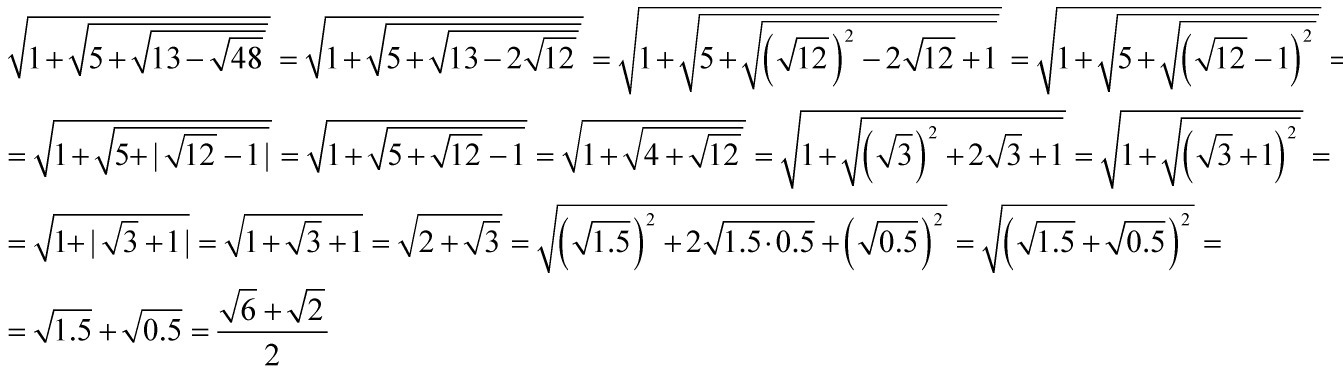
0
displaystyle  sqrt{1+ sqrt{5+ sqrt{13- sqrt{48}}}}= sqrt{1+ sqrt{5+ sqrt{( sqrt{12}^2+1)-2 sqrt{12}}}}= \ sqrt{1+ sqrt{5+ sqrt{( sqrt{12}-1)^2}}}= sqrt{1+ sqrt{5+ sqrt{12}-1}}=\ sqrt{1+ sqrt{4+ sqrt{12}}}= sqrt{1+ sqrt{ sqrt{3}^2+1+2 sqrt{3}}}=\ sqrt{1+ sqrt{( sqrt{3}+1)^2}}= sqrt{1+ sqrt{3}+1}= sqrt{2+ sqrt{3}}
Ответ дал: Аноним
0
******************************
Приложения:
Вас заинтересует