Ответы
Ответ дал:
0
1
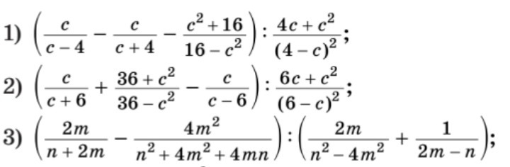
1)c/(c-4)-c/(c+4)+(c²+16)/(c-4)(c+4)=(c²+4c-c²+4c+c²+16)/(c²-16)=
=(c²+8c+16)/(c²-16)=(c+4)²/(c-4)(c+4)=(c+4)/(c-4)
2)(c+4)/(c-4):(4c+c²)/(4-c)²=(c+4)/(c-4) * (c-4)²/c(4+c)=(c-4)/c
2
1)c/(c+6)+(36+c²)/(36-c²)+c/(6-c)=(6c-c²+36+c²+c²+6c)/(36-c²)=
=(c²+12c+36)/(36-c²)=(c+6)²/(6-c)(6+c)=(c+6)/(6-c)
2)(c+6)/(6-c):(6c+c²)/(6-c)²=(c+6)/(6-c)*(6-c)²/c(6+c)=(6-c)/c
3
1)2m/(n+2m)-4m²/(n+2m)²=(2nm+4m²-4m²)/(n+2m)²=2nm/(n+2m)²
2)2m/(n-2m)(n+2m-1/(n-2m)=(2m-n-2m)/(n²-4m²)=-n/(n²-4m²)
3)2nm/(n+2m)²:n/(4m²-n²)=2nm/(n+2m)² *(2m-n)(2m+n)/n=2m(n-2m)/(n+2m)
1)c/(c-4)-c/(c+4)+(c²+16)/(c-4)(c+4)=(c²+4c-c²+4c+c²+16)/(c²-16)=
=(c²+8c+16)/(c²-16)=(c+4)²/(c-4)(c+4)=(c+4)/(c-4)
2)(c+4)/(c-4):(4c+c²)/(4-c)²=(c+4)/(c-4) * (c-4)²/c(4+c)=(c-4)/c
2
1)c/(c+6)+(36+c²)/(36-c²)+c/(6-c)=(6c-c²+36+c²+c²+6c)/(36-c²)=
=(c²+12c+36)/(36-c²)=(c+6)²/(6-c)(6+c)=(c+6)/(6-c)
2)(c+6)/(6-c):(6c+c²)/(6-c)²=(c+6)/(6-c)*(6-c)²/c(6+c)=(6-c)/c
3
1)2m/(n+2m)-4m²/(n+2m)²=(2nm+4m²-4m²)/(n+2m)²=2nm/(n+2m)²
2)2m/(n-2m)(n+2m-1/(n-2m)=(2m-n-2m)/(n²-4m²)=-n/(n²-4m²)
3)2nm/(n+2m)²:n/(4m²-n²)=2nm/(n+2m)² *(2m-n)(2m+n)/n=2m(n-2m)/(n+2m)
Вас заинтересует
2 года назад
7 лет назад
9 лет назад
10 лет назад