Ответы
Ответ дал:
0
Решение на фотографии
Приложения:

Ответ дал:
0
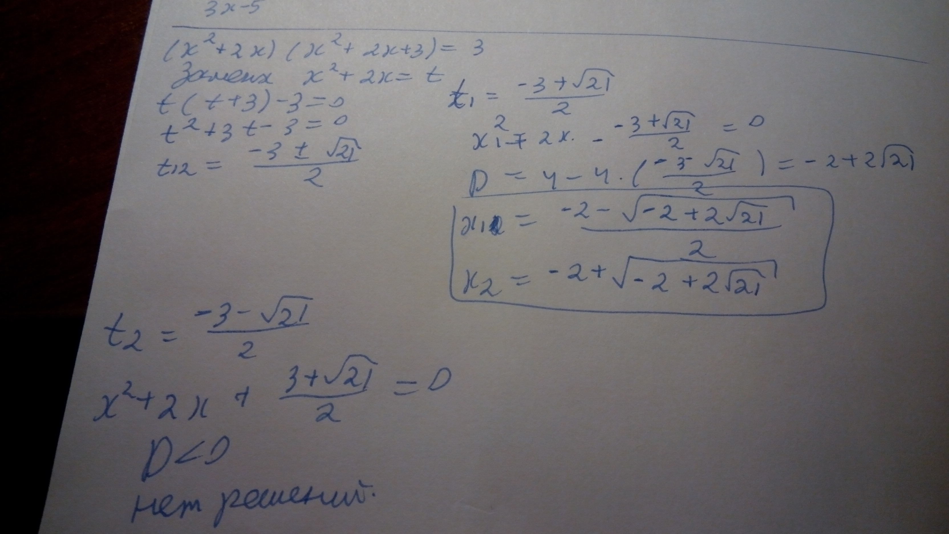
х2 надо еще разделить на 2.
Ответ дал:
0
(x²+2x)(x²+2x+3=3
x²+2x=a
a(a+3)-3=0
a²+3a-3=0
D=9+12=21
a1=(-3-√21)/2 U a2=(-3-√21)/2
x²+2x=(-3-√21)/2
x²+2x+(3+√21)/2=0
D=4-6-2√21<0 нет решения
x²+2x=(-3+√21)/2
x²+2x+(3-√21)/2=0
D=4-6+2√21=2√21-2
x1=(-2-√(2√21-2))/2
x2=(-2+√(2√21-2))/2
x²+2x=a
a(a+3)-3=0
a²+3a-3=0
D=9+12=21
a1=(-3-√21)/2 U a2=(-3-√21)/2
x²+2x=(-3-√21)/2
x²+2x+(3+√21)/2=0
D=4-6-2√21<0 нет решения
x²+2x=(-3+√21)/2
x²+2x+(3-√21)/2=0
D=4-6+2√21=2√21-2
x1=(-2-√(2√21-2))/2
x2=(-2+√(2√21-2))/2
Приложения:

Ответ дал:
0
В 6 строке а1 или а2 нужно заменить на (-3+√21)/2
Вас заинтересует
2 года назад
6 лет назад
9 лет назад
9 лет назад
10 лет назад