Ответы
Ответ дал:
0
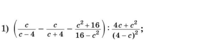
1)c/(c-4)-c/(c+4)+(c²+16)/(c-4)(c+4)=(c²+4c-c²+4c+c²+16)/(c²-16)=
=(c²+8c+16)/(c²-16)=(c+4)²/(c-4)(c+4)=(c+4)/(c-4)
2)(c+4)/(c-4):(4c+c²)/(4-c)²=(c+4)/(c-4) * (c-4)²/c(4+c)=(c-4)/c
=(c²+8c+16)/(c²-16)=(c+4)²/(c-4)(c+4)=(c+4)/(c-4)
2)(c+4)/(c-4):(4c+c²)/(4-c)²=(c+4)/(c-4) * (c-4)²/c(4+c)=(c-4)/c
Вас заинтересует
2 года назад
7 лет назад
7 лет назад
9 лет назад
9 лет назад
10 лет назад