• Предмет: Математика
  • Автор: F1kser
  • Вопрос задан 9 лет назад

помогит срочно плиз!!!

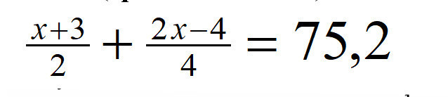
Приложения:

Ответы

Ответ дал: valeriyavolkov4
0
Внизу решение смотри
Приложения:
Вас заинтересует