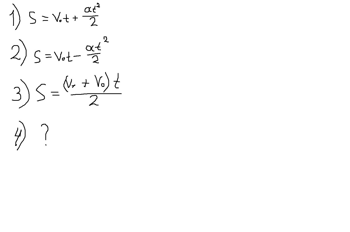
формула 1 при равнозамедленом движении обретает вид как показано под цифрой 2. Формула 3 будет иметь такие изменения?
Приложения:

Ответы
Ответ дал:
0
Смотреть на фото ниже!
Приложения:

Вас заинтересует
2 года назад
2 года назад
7 лет назад
7 лет назад
10 лет назад
10 лет назад