Ответы
Ответ дал:
0
4
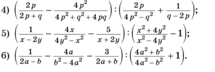
1)2p/(2p+q)-4p²/(2p+q)²=(4p²+2pq-4p²)/(2p+q)²=2pq/(2p+q)²
2)2p/(2p-q)(2p+q)-1/(2p-q)=(2p-2p-q)/(2p-q)(2p+q)=-q/(2p-q)(2p+q)=
=q/(q-2p)(2p+q)
3)2pq/(2p+q)² :q/(q-2p)(2p+q)=2pq/(2p+q)² *(q-2p)(2p+q)/q=2p(q-2p)/(2p+q)
5
1)1/(x-2y)+4x/(x-2y)(x+2y)-5/(x+2y)=(x+2y+4x-5x+10y)/(x-2y)(x+2y)=
=12y/(x²-4y²)
2)(x²+4y²)/(x²-4y²) -1=(x²+4y²-x²+4y²)/(x²-4y²)=8y²/(x²-4y²)
3)12y/(x²-4y²) :8y²/(x²-4y²)=12y/(x²-4y²) *(x²-4y²)/8y²=3/2y
6
1)1/(2a-b)+4a/(2a-b)(2a+b)-3/(2a+b)=(2a+b+4a-6a+3b)/(4a²-b²)=
=4b/(4a²-b²)
2)(4a²+b²)/(4a²-b²)+1=(4a²+b²+4a²-b²)/(4a²-b²)=8a²/(4a²-b²)
3)4b/(4a²-b²):8a²/(4a²-b²)=4b/(4a²-b²)* (4a²-b²)/8a²=b/2a²
1)2p/(2p+q)-4p²/(2p+q)²=(4p²+2pq-4p²)/(2p+q)²=2pq/(2p+q)²
2)2p/(2p-q)(2p+q)-1/(2p-q)=(2p-2p-q)/(2p-q)(2p+q)=-q/(2p-q)(2p+q)=
=q/(q-2p)(2p+q)
3)2pq/(2p+q)² :q/(q-2p)(2p+q)=2pq/(2p+q)² *(q-2p)(2p+q)/q=2p(q-2p)/(2p+q)
5
1)1/(x-2y)+4x/(x-2y)(x+2y)-5/(x+2y)=(x+2y+4x-5x+10y)/(x-2y)(x+2y)=
=12y/(x²-4y²)
2)(x²+4y²)/(x²-4y²) -1=(x²+4y²-x²+4y²)/(x²-4y²)=8y²/(x²-4y²)
3)12y/(x²-4y²) :8y²/(x²-4y²)=12y/(x²-4y²) *(x²-4y²)/8y²=3/2y
6
1)1/(2a-b)+4a/(2a-b)(2a+b)-3/(2a+b)=(2a+b+4a-6a+3b)/(4a²-b²)=
=4b/(4a²-b²)
2)(4a²+b²)/(4a²-b²)+1=(4a²+b²+4a²-b²)/(4a²-b²)=8a²/(4a²-b²)
3)4b/(4a²-b²):8a²/(4a²-b²)=4b/(4a²-b²)* (4a²-b²)/8a²=b/2a²
Вас заинтересует
2 года назад
7 лет назад
10 лет назад
10 лет назад