• Предмет: Алгебра
  • Автор: Nyanparty
  • Вопрос задан 9 лет назад

Упрощение уравнения
frac{x+y}{x^{frac{2}{3}}-x^{ frac{1}{3}}*y^{frac{1}{3}}+y^{frac{2}{3}}}+frac{x-y}{x^{frac{2}{3}}+x^{frac{1}{3}}*y^{frac{1}{3}}+y^{frac{2}{3}}}-frac{x^{frac{2}{3}}-y^{frac{2}{3}}}{x^{frac{1}{3}}-y^{frac{1}{3}}}

Ответы

Ответ дал: Аноним
0
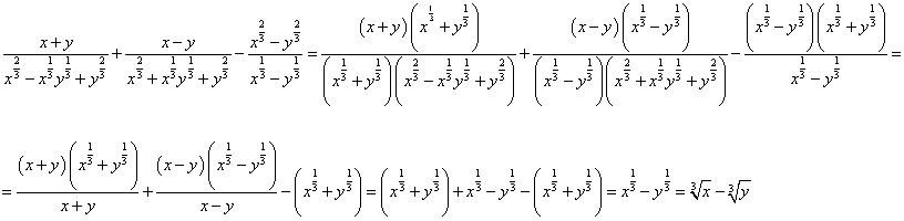
Решение смотрите на фото..........
Приложения:
Ответ дал: Аноним
0
умножил в числитель и знаменатель на (x^1/3 - y^1/3) и (x^1/3 + y^1/3) и получим в знаменателе сумму и разность кубов
Ответ дал: Nyanparty
0
Здесь же нужно найти общий знаменатель, если я не ошибаюсь
Ответ дал: Аноним
0
Я пошел по своему методу и проще решается
Ответ дал: Аноним
0
сразу дроби сокращаются
Ответ дал: Алкадиеныч
0
Просто если приводить все к общему знаменателю, то можно умереть. А так если умножить дробь на одно и то же число, то значение не поменяется.
Вас заинтересует