• Предмет: Математика
  • Автор: nura5565
  • Вопрос задан 9 лет назад

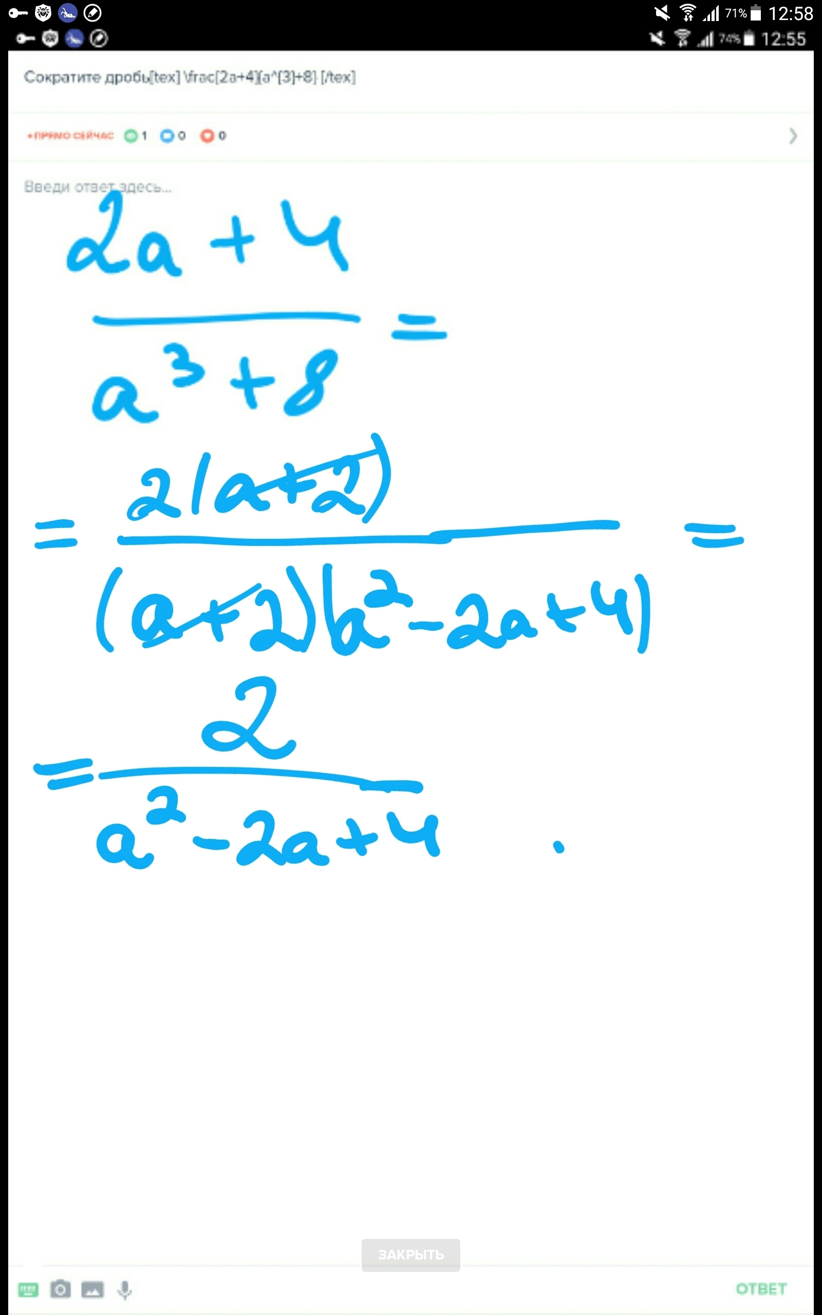
Сократите дробь frac{2a+4}{a^{3}+8}

Ответы

Ответ дал: unique2
0
ответ прикреплен!!!!!!!!!!!!!!!!!!!!
Приложения:
Ответ дал: sedinalana
0
(2a4)/(a³+8)=2(a+2)/(a+2)(a²-2a+4)=2/(a²-2a+4)
Приложения:
Вас заинтересует