Ответы
Ответ дал:
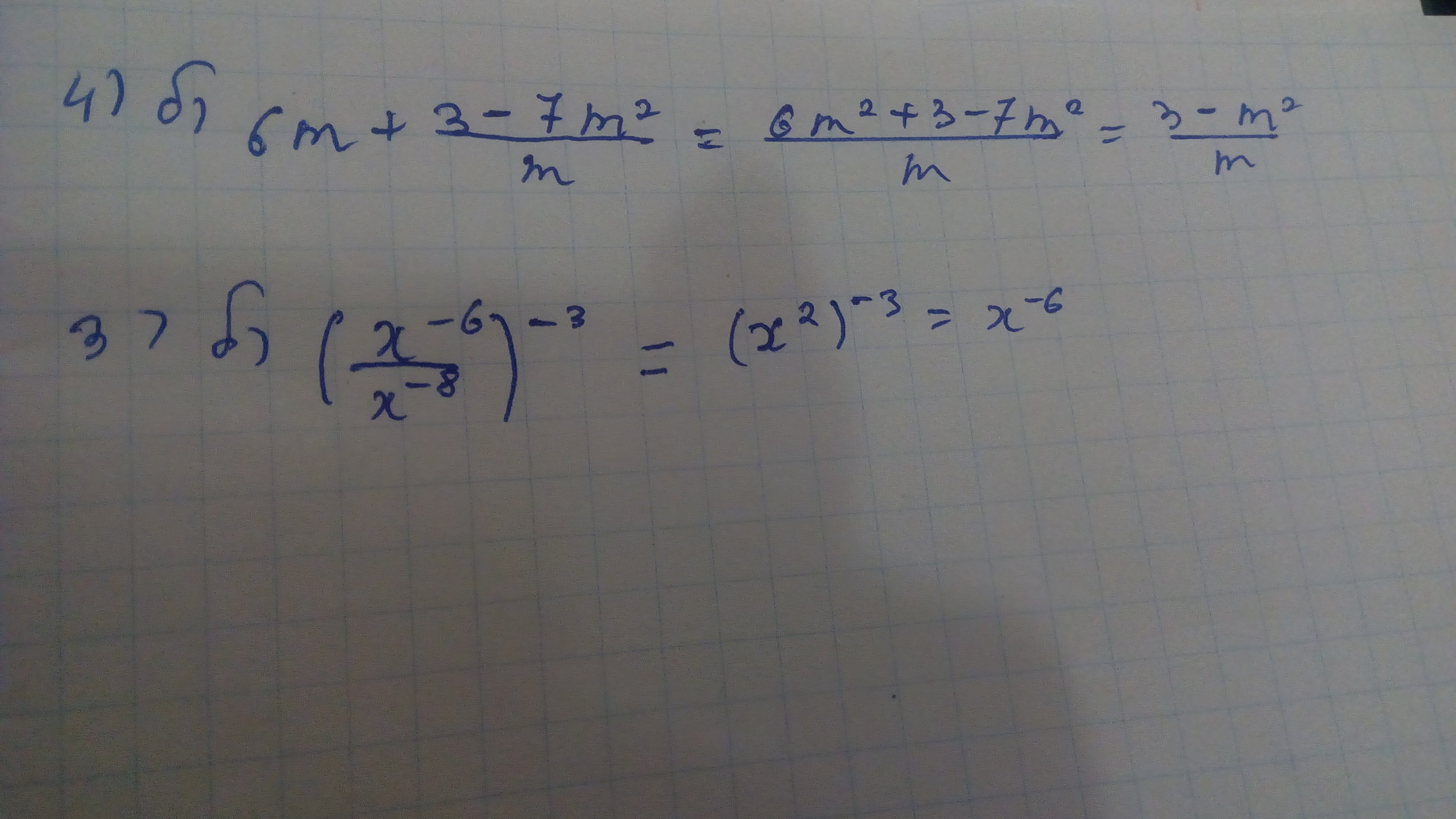
0
2)
a)х+1 ≠0
х≠-1
D=(-∞;-1)u(-1;+∞)
б)3а≠0
а≠0
D=(-∞;0)u(0;+∞)
a)х+1 ≠0
х≠-1
D=(-∞;-1)u(-1;+∞)
б)3а≠0
а≠0
D=(-∞;0)u(0;+∞)
Приложения:

Вас заинтересует
2 года назад
7 лет назад
7 лет назад
9 лет назад
9 лет назад
10 лет назад