какое количество тепла выделится при кристализации 10 гр нафталина, если его теплота плавления равна 150 кДж/кг
Ответы
Ответ дал:
0
Вот лови объяснение виде ксерокопирования .
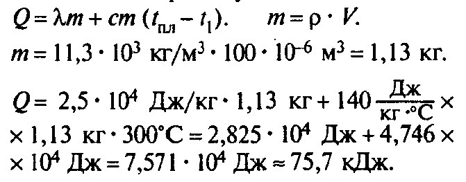
Ответ 75.7
Ответ 75.7
Приложения:


Ответ дал:
0
Спасибо огромное, классный сайт!!!
Вас заинтересует
2 года назад
2 года назад
7 лет назад
9 лет назад
10 лет назад