• Предмет: Алгебра
  • Автор: Alenka6314
  • Вопрос задан 2 года назад

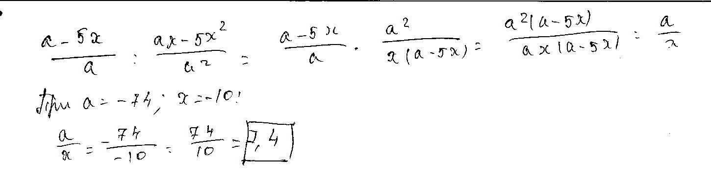
Найдите значение выражения
a-5х/а:ах-5х^2/а^2 при а=-74,х=-10

Ответы

Ответ дал: Dимасuk
59
:))))))))))))))))))))))))))))))
Приложения:
Вас заинтересует