• Предмет: Алгебра
  • Автор: Rozemey
  • Вопрос задан 9 лет назад

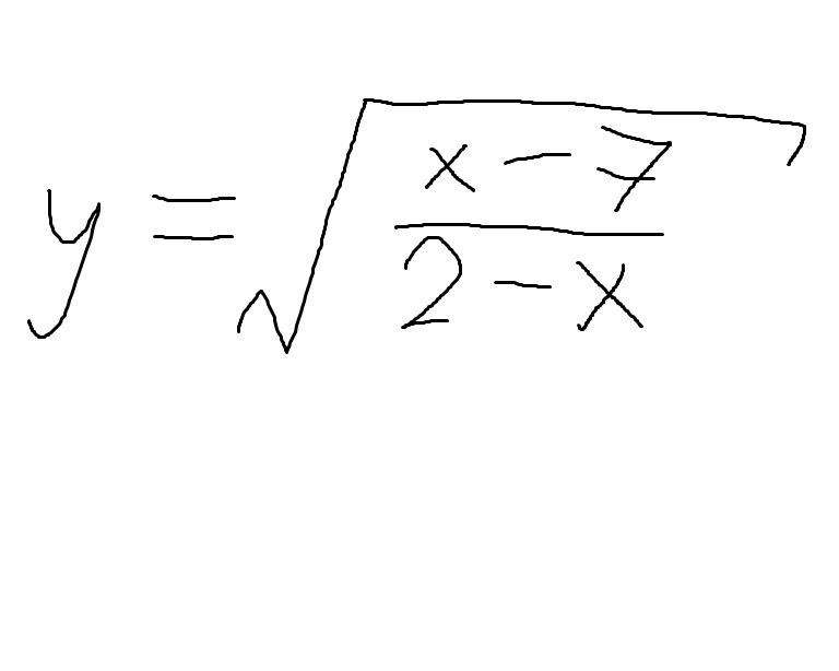
Найдите область определения функции y= sqrt{ frac{x-7}{2-x} }

Приложения:

Ответы

Ответ дал: Selena228
0
Подкоренное выражение должно быть неотрицательно и существовать. Критические точки для него - это x=7 и x=2 Методом интервалов мы поймем следующее: выражение неотрицательно в полуинтервале (2;7]. Двойку нельзя включать, иначе знаменатель нулевой. Семерку можно - корень из нуля всегда сможем извлечь

Ответ xin(2;7]


Ответ дал: Rozemey
0
можно в виде записи а не в виде текста?
Ответ дал: Selena228
0
Нельзя, страдай ^_^
Ответ дал: Rozemey
0
это бред а не решение
Ответ дал: Selena228
0
Спс за баллы ;)
Вас заинтересует