Постройте графики функции:
· y=2x+1
· y=0,5x-3
1. 1 = 54º; б) 1 : 2 = 2 : 7. Найдите углы 2, 3, 4, 5.
2. 1 = 72º, 2 = 115º, 4 = 72º (смотри рисунок). Найдите 3.
3. В АВС А = 43° , В = 69° . Найдите С
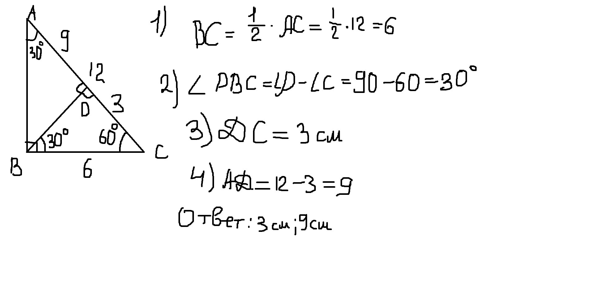
4. В прямоугольном треугольнике АВС с гипотенузой АС, равной 12 см, проведена высота ВD. Найдите СD и DА, если угол А равен 30°.
К рисунку относить только 2 задача.Можно с дано и решением
Приложения:

Ответы
Ответ дал:
0
2) ∠2 и ∠α - односторонние => сумма односторонних углов = 180°, тогда, 180-115=65°, а ∠α и ∠3 - вертикальные => ∠α=∠3=65°
3) Сумма углов треугольника = 180° => ∠A+∠B, 43+69=112°, ∠C=180-112=68°
Проверка: 43+69+68=180
4) BC=6 (т.к., катет лежащий напротив угла в 30°, равен половине гипотенузы) BC=1/2*AC=1/2*12=6
∠DBC=∠D-∠C=90°-60°=30°
DC=3 см. (т.к., напротив угла в 30°(∠DBC), лежит катет(DC) равен половине гипотенузы) DC=1/2*BC=1/2*6=3
Следовательно AD=9
12-3=9
Ответ: DC=3 см., AD=9 см.
3) Сумма углов треугольника = 180° => ∠A+∠B, 43+69=112°, ∠C=180-112=68°
Проверка: 43+69+68=180
4) BC=6 (т.к., катет лежащий напротив угла в 30°, равен половине гипотенузы) BC=1/2*AC=1/2*12=6
∠DBC=∠D-∠C=90°-60°=30°
DC=3 см. (т.к., напротив угла в 30°(∠DBC), лежит катет(DC) равен половине гипотенузы) DC=1/2*BC=1/2*6=3
Следовательно AD=9
12-3=9
Ответ: DC=3 см., AD=9 см.
Приложения:



Вас заинтересует
2 года назад
2 года назад
7 лет назад
7 лет назад
9 лет назад
9 лет назад
10 лет назад