Ответы
Ответ дал:
0
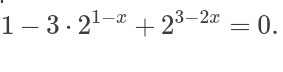
чтобы не запутаться, делаем замену:
-x=y
тогда:
1-3*2^(y+1)+2^(2y+3)=0
1-3*2*2^y+8*2^2y=0
делаем еще замену:
2^y=t
тогда:
1-6t+8t^2=0
8t^2-6t+1=0
D=36-32=4
t1=(6+2)/16=8/16=1/2=2^-1
t2=4/16=1/4=2^-2
обратная замена:
2^y=2^-1
y1=-1
2^y=2^-2
y2=-2
но y=-x, значит:
x1=-(-1)=1
x2=-(-2)=2
сумма: 1+2=3
Ответ: 3
-x=y
тогда:
1-3*2^(y+1)+2^(2y+3)=0
1-3*2*2^y+8*2^2y=0
делаем еще замену:
2^y=t
тогда:
1-6t+8t^2=0
8t^2-6t+1=0
D=36-32=4
t1=(6+2)/16=8/16=1/2=2^-1
t2=4/16=1/4=2^-2
обратная замена:
2^y=2^-1
y1=-1
2^y=2^-2
y2=-2
но y=-x, значит:
x1=-(-1)=1
x2=-(-2)=2
сумма: 1+2=3
Ответ: 3
Ответ дал:
0
можно еще так:




замена:





обратная замена:







ответ 3
замена:
обратная замена:
ответ 3
Вас заинтересует
7 лет назад
10 лет назад